Текст книги "Природа космических тел Солнечной системы"
Автор книги: Дмитрий Тимофеев
сообщить о нарушении
Текущая страница: 5 (всего у книги 8 страниц)
Изотопы элементов образуют отдельные слои в ядре Земли
Гипотеза 20
Изотопы любого элемента отличаются по плотности атомов. Для тяжелых элементов различия эти небольшие, в то время как для лёгких достаточно значительны. Например, если атом водорода-протий имеет плотность 7,62 г/см3 то его изотоп-дейтерий имеет плотность в два раза больше 15,24 г/см3 и слой его в ядре находится намного глубже где-то между торием и германием, а слой изотопа-трития имеет атомы с плотностью 22,86 г/см3 и изначально, когда всё ядро находилось в состоянии веществ из кристаллических газов мог находится в самой глубине ядра ниже слоя полония. Различия в плотностях изотопов более тяжелых элементов не столь существенны и слои их как правило находятся рядом, но могут чередоваться со слоями изотопов других элементов. Изотопы разных элементов, но с одинаковыми атомными массами могут образовывать разные слои в состояние кристаллического газа, но образовывать один слой при переходе в состояниях реальных газов. Картина чередования слоёв изотопов на примере J 127, Te 130, Te 128, Te 126, Te 125, Te 124, Te 123, Te 122, Te 120, Xe 136, Xe 134, Xe 132, Xe 131, Xe 130, Xe 129, Xe 128, Xe 126, Xe 124 (рис. 20)

Рис. 20. Слои элементов с учётом изотопов. Рядом с наименованием изотопа показано значение его распространённости в природе.
Изображение с учётом изотопов даёт более сложную картину слоёв, чем по слоям элементов. Ещё более сложная картина получается если учесть и нестабильные (радиоактивные) изотопы J 129, Хе 127, Хе135, Те 129 и т. д., образующиеся как осколки деления при цепных реакциях или как продукты спонтанного деления ядер.
Цепные ядерные реакции в ядре Земли
Гипотеза 21
Структура ядра определяет процессы, которые неизбежно будут там происходить.
Ядро постоянно разогревается за счет распада радиоактивных элементов. Субъядро, состоящее из урана, под действием гравитации сепарировано на слои изотопов, имеющих разные плотности. Переходная зона, слой F урана U238 между внешним ядром и субъядром более насыщен изотопами U235 и U233. При достижении на каком-либо участке высоких концентраций U235, U233 происходят местные тепловые всплески в результате реакций цепного ядерного деления. Мощность единичного теплового всплеска невелика, поскольку значительная сверхкритическая масса собраться не может из-за начала процесса деления. Тепловые всплески порождают турбулентности, которые приводят к перемешиванию изотопов и естественным образом регулируют скорость цепной реакции. Автоматическое регулирование процесса ядерного тепловыделения также происходит за счет образования осколков деления, поглощающих нейтроны. По мере удаления за счет сепарации из зоны F или распада таких осколков скорость реакции возрастает. Мощность всего процесса мала, поскольку ограничивается небольшой скоростью сепарации U235 и U233 из-за сравнительно невысокой гравитации в ядре Земли.
Происходит и возобновление ядерного топлива. U238 и Th232 захватывают образующиеся при ядерном делении нейтроны и трансформируются в Pu239 и U233, которые являются топливом для цепных реакций ядерного деления.
При облучении нейтронами тяжелых атомов образуются разнообразные атомы актиноидов, в том числе и с малым периодом полураспада, которые, распадаясь, также выделяют энергию.
В результате радиоактивного распада урана и плутония в ядре образуются радиоактивные осколки деления от цинка до самария (рис. 11). Осколки более легкие, и всплывают в свои слои ядра Земли. Осколки перегружены нейтронами, постепенно в ходе ядерных реакций трансформируются в другие элементы. Нейтроны, образовавшиеся в ядерных реакциях, но не захваченные другими ядрами, из-за малого периода полураспада превращаются в протоны и электроны, а те при замедлении превращаются в стабильные атомы водорода, которые поднимаются к мантии. Легкие элементы, образующиеся в ядерных реакциях – водород и гелий – выходят на поверхность Земли. В отличие от гелия водород химически активен, и выходит на поверхность в виде наиболее стабильных в условиях коры Земли соединений: углеводородов, сероводорода, воды.
В ядре Земли менее мощные выделения энергии, чем на космических телах с более сильной гравитацией, где скорость сепарации выше, например, на больших планетах, а также на Солнце.
Тепловое состояние веществ в ядре Земли
Гипотеза (концепция) 22
По принятым в настоящее время представлениям температура в ядре Земли не превышает 5000°С. Ранее, вероятно, на такой температуре остановились, поскольку при более высокой температуре все вещества однозначно становятся газами, а это не укладывалось в головах ученых того времени. Кроме того, упрощенные представления о теплообмене, основанные, вероятно, на модели, повторяющей этот процесс в чайнике, подсказывали, что при более высокой температуре невозможно представить нормальное, существующее сейчас тепловое состояние на поверхности Земли. Такое представление сложилось в начале прошлого века. Расчеты показывали, что радиационное тепловыделение от урана, тория, и калия должно дать значительно более высокие температуры в глубинах Земли. Тогда для того, чтоб свести концы с концами и защитить свою концепцию (5000°С) в 1909 году было высказано предположение Джоли [Joly, 1909], а затем Холмсом [Holmes, 1926], что урана в ядре Земли нет. С тех пор такие ошибочные убеждения и существуют во взглядах ряда ученых. Были в прошлом и другие убеждения. Так, по представлениям Э. Канта ядро Земли раскалено как Солнце, но окружено плотным веществом, которого нет на поверхности.
Надо учитывать, что знания ученых того времени по ряду направлений во многом были примитивнее той информации, которая есть в программах нашей современной средней школы. В настоящее время знания о тепловых процессах превратились в науку. Имеются многочисленные расчеты тепловых процессов. На производстве ни один сложный аппарат, где происходят химические реакции, не проектируется без тепловых расчетов. В космической технике для конструирования искусственных спутников Земли в конструкторских бюро существуют целые отделы, задачей которых являются тепловые расчеты. В программы разработки изделий непременно входит создание отдельного экспериментального образца спутника только для тепловых и вакуумных испытаний, и это при том, что процессы выделения и передачи тепла на спутнике неизмеримо проще таких процессов в глубинах Земли.
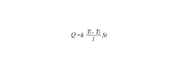
Чтоб получить более ясное представление, обратимся к результатам измерений. С увеличением глубины температура пород возрастает с градиентом примерно 20 градусов на километр. Представим модель, что тепло идет из центра Земли. Рассчитаем температуру в центре Земли, которая могла бы обеспечить имеющийся градиент по формуле Фурье для теплопроводности:

где Q – количество тепла;
k —коэффициент теплопроводности;
T1 – температура на поверхности Земли;
T2– температура в центре Земли;
S – площадь сечения геосферы;
T – время;
Ι – толщина слоя.
По упрощенному расчету, не учитывающему, что Земля – шар, и предполагающему, что все тепло идет из центральной точки, температура в центре Земли при сохранении градиента на всю глубину составит примерно 120000°С. А если учесть уменьшение площади передачи тепла с увеличением глубины, поскольку площадь геосфер с глубиной уменьшается, то реальный градиент температуры при неизменном тепловом потоке должен возрастать с глубиной пропорционально уменьшению площади, пропорционально квадрату глубины, следовательно, температура в центре Земли по этой модели должна составлять уже 14.4 ∙ 109°С.
Конечно, модель далеко не соответствует реальному состоянию. Все тепло не выделяется из центра Земли, и поэтому она должна быть отвергнута, но что—то в этой модели есть. Она позволяет усомниться в низкой температуре ядра, вырваться из гипноза оков догматической температуры в 5000°С, предположенной примитивными представлениями столетней давности, и искать правильное решение. Если напрячь усилия и обратиться к хотя и упрощенным, но современным тепловым расчетам, то появляется достаточно сложная картина. Для представления о тепловом состоянии необходимо учитывать, как реакции выделения тепла, так и, что совершенно очевидно, существующие реакции поглощения тепла за историю Земли. Также необходимо учитывать начальное тепловое, химическое и ядерное состояние массы Земли. Если принять за начальное состояние газопылевое космическое облако, а за конечное – нынешнее состояние, то картина выходит следующая.
По тепловому балансу, определяющему температуру, приход тепла обеспечивается процессами:
– ударное и гравитационное статическое собирание, а также сжатие частиц в массу планеты;
– энергии распада радиоактивных элементов;
– энергии распада ядерного топлива по цепному механизму;
– разогрев планеты Солнцем и космическим излучением.
Одновременно имеются процессы, приводящие к потере тепла:
– излучение тепла в космическое пространство;
– совершение работы расширения объема Земли;
– химические реакции по трансформации веществ мантии при повышении температуры;
– расширение при дросселировании газов при поднятии и выходе атмосферы и вод океанов
– плавление веществ ядра Земли и фракций мантии;
– испарение всей массы веществ ядра Земли;
– ионизация элементов в ядре Земли;
– выделение света и образование фотонного газа в ядре Земли.
Нужно учитывать, что в изначальном состоянии вещество газопылевого облака в космическом пространстве находилось в сравнительно холодном состоянии, а также то, что в этом состоянии вещество находилось в виде соединений с малыми изобарными потенциалами.
Наиболее емкие, приводящие к наибольшей потере тепла, процессы ионизации элементов и процессы выделение фотонного газа. Эти процессы происходят только при высоких температурах, но являются практически бездонными для нашей планеты поглотителями тепловой энергии.
Несмотря на значительное выделение тепла, температурная стабильность Земли объясняется прежде всего редким для нашего поверхностного мира явлением, погружением в глубинах Земли более горячего вещества вместо всплытия (конвекции) названное термонизом, о котором еще будет сказано ниже, значительным многоуровневым поглощением тепла в ядре и мантии, большим теплоизолирующим свойством мантии, коры Земли, слоев ядра, а также гравитационным разделением разных элементов по глубине Земли на слои, обеспечивающим изоляцию разогретых масс в центральной её части.
Наибольшее количество энергии поглощается при ионизации атомов. Атомы при ионизации аккумулируют огромное количество энергии. На первую ионизацию, например, калия затрачивается 44398 ккал/кг, на вторую ионизацию – 6687416 ккал/кг, на третью ионизацию —9670580 ккал/кг. Даже при потере только трех электронов (а их у калия 19) 1 кг калия поглощает энергию, содержащуюся в 16.4 тоннах тротила.
Если бы теплообмен в глубинах Земли шел бы по механизму простой конвекции, то при температуре в центре Земли и в 5000°С вся горячая масса ядра всплыла бы на поверхность. То же произошло бы и на Солнце, и температура его фотосферы точно превысила бы наблюдаемые 6000°С. Объяснением того, что такого не происходит может быть только существующее и предлагаемое явление термониза, по причине которого тепло на поверхность не выходит, а аккумулируется ионизацией тяжелых элементов, а также образованием фотонного газа в центре Земли.
Значительная аккумуляция тепла образованием фотонного газа связана с тем, что интенсивность образования фотонов (а значит и поглощения тепла) происходит в четвертой степени от температуры, и при высоких ее значениях увеличивается лавинообразно.
Большое количество процессов выделения и поглощения тепла, а также отсутствие информации в каких значениях эти процессы происходят, делает прямой расчет теплового состояния Земли невозможным. Температуру вещества на разных глубинах удалось рассчитать, используя результаты замера плотностей, расчета значений давлений на разных глубинах и оценки состава веществ геосфер.
По скорости прохождения сейсмических волн известна плотность вещества в ядре. Также сравнительно точно рассчитано давление на разных глубинах ядра. Допускаем, что в условиях ядра Земли свойства веществ соответствуют законам для идеальных газов, что экспериментально подтверждено до давлений в 100000 атм. [Гонигберг, 1960]. Используя значения давлений, плотностей и видов элементов, можно рассчитать температуры по слоям ядра Земли. Закон расширения Менделеева—Клапейрона для всех газов одинаков:

Из этого следует:

где P – давление в нормальных условиях 1 атм.;
V – объем одного г-атома элемента (0.0224м3) в нормальных условиях;
P1 – давление в искомой области;
V1 – объем межатомного пространства одного г-атома в искомой области;
T – температура нормальная 273 градуса К;
Т1 – искомая температура.
Таким образом
T1 = 12187.5 P1V1
Подставив значения объема и давления в тех областях ядра Земли, где по расчетам вещество находится в состоянии реального газа, можно определить здесь температуру.
Расчет температуры в ядре Земли
Гипотеза (концепция) 23
Давление в центре Земли примерно 3,6 миллиона атмосфер. Рассчитаем объем одного грамм-атома урана в ядре Земли, что несложно. Грамм-атом урана – это 238 грамм. Плотность вещества в центре ядра Земли – 12.5 г/см3. Следовательно, объем 1 г-атома урана составит 238/12.5=19.04 см3. Для расчета температуры необходимо убрать из этого объема газа объем, занимаемый самими атомами урана, и оставить только объем межатомного пространства. Объем атома урана составляет 17.15 кубических ангстрем. В одном г-атоме находятся 6х1023атомов. Следовательно, сами атомы занимают 1.029х1025 кубических ангстрем объема. Это равно 10.29 см3. Следовательно, межатомное пространство будет равно 19.04—10.29 = 8.75 см3, что соответствует 8.75х10—6 м3
Подставляя эти величины в формулу, получаем значение температуры в центре ядра Земли 12187.5х3,6х8.75=383906°К.
Однако, такая оценка оказывается неточной, поскольку при такой температуре атомы ионизированы, следовательно, имеют меньший размер, что сказывается на объеме межатомного пространства, использованного для расчета. Для более точной оценки температуры необходимо подобрать степень ионизации атомов, соответствующую расчетной температуре в слое. Для расчета примем допущение, что все атомы при расчетной температуре имеют одинаковую энергию (нет распределения энергий частиц по Максвеллу). Что степень ионизации происходит ступенчато. Что ионизация очередного электрона в элементе начинается по достижении температуры, соответствующей энергии ионизации. Увеличение тепловой энергии атома на 1 эв соответствует увеличению температуры на 7752°К.
При полученной расчетной температуре в 383906°К, атомы будут иметь энергию 383906°К/7752 К=49.52 эв.
Энергия последовательной ионизации атома урана составляет 6.19, 11.6, 19.8, 36.7 эв. Поскольку в литературе энергии ионизации урана более высоких степеней найти не удалось, используем для приближенного расчета близкие энергии ионизации лантана (5.59, 11.38, 19.1, 52.2, 65.7, 80.0, 99.5, 114.1). С учетом неизбежного при пересчете увеличения значений температуры в слое, предположим, что энергия ионизации составляет +7, радиус иона для урана +7 составит примерно 0.8Ǻ, объем иона 2.14Ǻ3, а расчетная температура в центре Земли получается 779220°К, Оценим верно ли мы взяли степень ионизации +7. Разделив рассчитанную температуру 779220 °К/7752°К, получаем энергию ионов в 100.51 эв. Эта энергия соответствует ионизации +7 (для лантана 99.5). Значит, принятая степень ионизации +7 верна.
По этой же схеме рассчитаны температуры в других горизонтах по глубине ядра Земли и показаны в таблице 7. Расчеты проведены по уровням внешних радиусов слоев элементов.
Из 33 элементов, составляющих ядро, выбрано 12 слоев элементов, по которым проведен расчет температур на уровнях расположения их слоев. Значения полученных температур и промежуточные параметры для расчета показаны в таблице 8. Расчёты были проведены мной, а данная концепция впервые была опубликованы в работе [Тимофеев, 2014]

По значениям температур этих слоев построена кривая (рис. 21). Здесь мы видим, что начиная от поверхности наружного ядра температура сначала поднимается довольно плавно, затем, примерно в слое никеля начинает происходить значительное нарастание температуры. Начиная со слоя рутения происходит ионизация вещества. Далее в субъядре кривая снова переходит к более плавному поднятию температуры. В центре Земли температура достигает максимума, примерно 780000°К. Именно при такой температуре уран в состоянии газа по расчету имеет плотность 12.5 г/см3 в условиях давления 3.61 миллион атмосфер и находится при этом в седьмой степени ионизации. Снижение интенсивности нарастания температуры на глубине более 5000 км объясняется тем, что основные цепные ядерные реакции активно выделяющие тепло протекают в слое F. Дальнейшее, менее интенсивное нарастание температуры в субъядре (в слое G) объясняется менее активными здесь реакциями, выделяющими тепло за счет радиоактивного распада, здесь U238 и заурановых элементов.

Рис. 21. Изменение температуры по глубинам в ядре Земли: 1 – кривая давления; 2 – расчетная кривая температуры без учета ионизации атомов; 3 – реальная кривая изменения температуры в ядре Земли с учетом ионизации
В течение истории Земли температура ядра непрерывно растет со средней скоростью примерно 0.17 °С за тысячу лет.
Фотонный газ в ядре Земли
Гипотеза 22
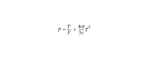
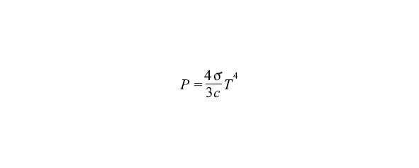
Высокая расчетная температура в ядре Земли требует учесть влияние давления фотонного газа. В газообразном веществе при высоких температурах кроме атомов элемента появляется значительное количество фотонов, которые создают дополнительное давление [Мартинсон, Смирнов http://fn.bmstu.ru/data-physics/library/physbook/tom5/ch1/formulas/fml1.43_more.htm]. Давление света в обычных условиях составляет очень небольшую величину. Солнечные лучи в яркий день создают давление приблизительно 0.43 дин/м2. Однако, учитывая, что давление пропорционально четвертой степени от температуры, при высоких температурах оно достигает значительных величин. Давление фотонного газа рассчитывается по формуле:

Здесь σ – постоянная Стефана—Больцмана, 5.67.10—8Дж·с—1·м—2 · К—
с – скорость света в вакууме.3х108 м/с,
что соответствует

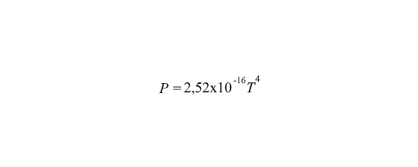
График изменения давления фотонного газа от температуры (рис. 22). Расчетная величина давления фотонного газа в центре Земли при температуре 780000°К равна 932 атм, что составляет 0,026% от общего давления (3.61миллиона атм.) и уже влияет на состояние ядра. Полное давление в определяемой зоне ядра Земли описывается формулой:

Давление фотонного газа в центре Земли показано (рис. 15).

Рис. 22. Изменение давления фотонного газа от температуры: 1 – давление фотонного газа в центре Земли в настоящее время
Составляющая давления кинетической энергией атомов возрастает линейно от величины температуры, в то время как составляющая давления фотонного газа зависит от температуры в четвертой степени. Поскольку величина давления в ядре ограничивается силами гравитации, то повышение давления фотонного газа компенсируется снижением давления, создаваемого кинетической энергией атомов за счет увеличения объема и снижения плотности вещества. Очевидно, что вклад давления фотонного газа в состояние больших планет Юпитера, Сатурна, а также Солнца и звезд значительно больше, чем у Земли из-за более высокой температуры в их глубинах. Высокие давления фотонного газа привели к расширению веществ и снижению плотностей больших космических тел. Ядро Земли находится в стадии начала процесса расширения от возрастания давления фотонного газа. Величины давлений фотонного газа в ядрах планет растут от непрерывно повышающихся температур.
Малая плотность вещества Сатурна, Юпитера, Урана, а также сравнительно малая плотность вещества Солнца есть следствие не их состава из водорода. Представления о водородном Солнце и водородных больших планетах примитивны. Это, вероятно, то, что первое пришло в голову для объяснения малой плотности веществ этих космических тел, поскольку водород в состоянии разреженного газа имеет самую малую плотность. Есть вещество, которое намного легче водорода в условиях высоких температур и давлений, это фотонный газ. Состав элементов, из которых состоят Солнце, Сатурн, Юпитер, Уран, все-таки ближе к составу Земли, а малая плотность этих космических тел объясняется большим содержанием в их глубинах фотонного газа.
Некоторое давление в глубинах космических тел могут создавать и самые разные виды излучений, например, нейтроны, протоны, α– и β-частицы. Оценка величин такого давления не проводилась, но очевидно, что с увеличением масс космических тел, следовательно, с увеличением интенсивности протекания в них ядерных реакций, значения таких давлений будут возрастать. Эта тема представляет самостоятельный интерес для дальнейших исследований.




























