Текст книги "Природа космических тел Солнечной системы"
Автор книги: Дмитрий Тимофеев
сообщить о нарушении
Текущая страница: 1 (всего у книги 8 страниц)
Природа космических тел Солнечной системы
Дмитрий Николаевич Тимофеев
© Дмитрий Николаевич Тимофеев, 2023
ISBN 978-5-0053-7996-2
Создано в интеллектуальной издательской системе Ridero

Д. Н. Тимофеев
Природа
космических тел
Солнечной системы
Второе издание
timofeev.dmitriyy@rambler.ru
Монография об образовании Солнца, планет Солнечной системы, процессах в них сейчас и в ближайшие миллиарды лет. В книге 135 гипотезы автора, ранее представленные в докладах на конференциях в институтах Академии Наук России и получившие положительные отзывы учёных. В работе показано какие процессы происходят в глубинах Солнца, Земли, других планет, какова природа вулканических явлений и землетрясений, как произошла нефть, руды, рассыпные месторождения ценных металлов, какова природа Тунгусского феномена и Челябинского болида, какая температура в центре Земли, чем отличается состав веществ на разных планетах, почему вещество Сатурна и Юпитера имеют малую плотность, как образовалось магнитное поле Земли и почему оно изменяется, много других тайн природы. В работе опровергаются старые представления о составе веществ Земли и Солнца, даётся новый состав, рассчитанный на основе законов ядерной физики, предсказывается автором нахождение в глубинах Земли новых неизвестных ранее веществ «нитронефти» и «силановой нефти», а также показывается возможность и способ добычи этих новых полезных ископаемых, которые обеспечат людей энергией и металлами на тысячи лет. Работа написана несложно, для лучшего понимания и более приятного чтения содержит 120 рисунков, рассчитана как на геологов, так и на всех читателей, интересующихся строением мира.
D. N. Timofeev
THE NATURE
OF COSMIC BODIES
SOLAR SYSTEM
Second edition
timofeev.dmitriyy@rambler.ru
Timofeev D. N. The nature of the cosmic bodies of the solar system.
Monograph on the formation of the Sun and the planets of the Solar system, the processes in them now and in the next billions of years. The book contains 135 hypotheses of the author, previously presented in reports at conferences at the institutes of the Russian Academy of Sciences and received positive feedback from scientists. The work shows what processes occur in the depths of the Sun, the Earth and other planets, what is the nature of volcanic phenomena and earthquakes, how oil, ores, loose deposits of valuable metals occurred, what is the nature of the Tunguska phenomenon and the Chelyabinsk bolide, what is the temperature in the center of the Earth, what is the difference in the composition of substances on different planets, why the matter of Saturn and Jupiter have a low density, how the Earth’s magnetic field was formed and why it changes, and many other mysteries of nature. The paper refutes the old ideas about the composition of the substances of the Earth and the Sun, gives a new composition calculated on the basis of the laws of nuclear physics, predicts the author’s finding in the depths of the Earth of new previously unknown substances «nitro oil» and «silane oil», and also shows the possibility and method of extracting these new minerals that will provide people with energy and metals for thousands of years. The work is written simply, for a better understanding and a more pleasant reading, contains 120 drawings, designed for both geologists and all readers interested in the structure of the world.
О работе
Поднятая Дмитрием Николаевичем тема крайне сложна и, вероятно, на современном уровне знаний не имеет однозначного и общепринятого решения. Мы все – ученые – исследователи непознанного – стремимся к познанию истины, и каждый участник этого процесса, в меру своей эрудиции, научного базиса и глубины проникновения в существо вопроса, имеет свое видение на тот или иной вопрос. Мы не можем прийти к общему знаменателю, но двигаться в этом направлении нужно. Мы должны в рамках формулирования основ теории глубинного генезиса нефти построить адекватную модель строения Земли, ее внутренних оболочек, состава и свойств ее вещества, физики и геохимии протекающих процессов. Без этого базиса надстройка не будет устойчивой и долговечной.
А потому в решение этого вопроса, как мне кажется, нужно идти от известного, преодолевая устаревшие и опровергнутые фактическими данными каноны и догмы, кирпичик за кирпичиком выстраивая новое здание концепции. Я, не будучи глубоким специалистом в этом вопросе (могу судить только по доступным мне публикациям, причем, не в состоянии углубления в специальные вопросы), могу только наблюдать обсуждение поднятых вопросов и в силу своего положения призывать к соблюдению правил научного спора. Негоже нам ниспускаться до обид, оскорблений и огульного отрицания на основе принципа: «этого быть не может, потому что не может быть никогда». Призываю к конструктивной дискуссии, чтобы в осадке осталось зерно нового, прогрессивного, которое может прорасти всходами нового знания.
Дмитрий Николаевич может ошибаться, он как увлеченный ученый ухватился за свою «жар-птицу», он ее холит и развивает, это естественно. Все, кто видит его ошибки и неправильный ход мыслей, должен указать на эти ошибки, но не голословно, а на основе фактических наблюдений, непротиворечивых положений, принципов, законов, наконец, которые не подлежат отрицанию и требуют приведения всей концепции Дмитрия Николаевича в соответствие с этими фундаментальными положениями.
Говорю, а сам понимаю, что нет ничего вечного под луной, и наши знания—это лишь современное видение, понятно искаженное и неполное, прогресс нельзя остановить, а застывшие догмы лишь тормозят его развитие.
Словом, чистая диалектика, куда деваться, мы тут затеяли научную революцию и хотим, чтобы и овцы были целы, и волки сыты. Но так не бывает, а потому не рассчитывайте на спокойную жизнь, коли решили участвовать и быть в гуще процесса. Покой нам только снится…
Доктор геолого-минералогических наук,
Академик РАЕН, заместитель Главного геофизика
ОАО «ЦГЭ» (АО «Центральная геофизическая экспедиция»),
Москва
ТИМУРЗИЕМ АХМЕТ ИССАКОВИЧ
В геохимической тематике большой интерес вызывает модель Д. Н. Тимофеева. Предложена систематизация комплекса и положения химических элементов в Земле сообразно «энергиям связи нуклонов в ядрах элементов с учетом устойчивости элементов определяемой четностью протонов и нейтронов». Он предложил вариант структуры глубинных и коровых оболочек Земли, в них смоделировал химический состав, температуры, химическую динамику. Рассмотрена генерация углеводородов в свете законов ядерной физики, химии и химической термодинамики. Представлена модель образования и преобразования химических соединений в большом диапазоне глубин, температур и давлений и сделан вывод об образовании нитронефти на путях мощных химических процессов.
Модель Д. Н. Тимофеева обогатила представления о возможных глубинных процессах образования УВ.
Изложены химические механизмы проникновения кремния со сравнительно большой плотностью в земную кору, самую верхнюю твердую оболочку. Кремний попал сюда в виде газа силана SiH4, также как углерод в виде газа метана. Большое положительное значение изобарного потенциала, по мнению автора, показывает на нахождение кремния в виде гидридов в мантии Земли. Смесь различных гомологов силана с подвижными соединениями алюминия и железа, кислородом, а также небольшим количеством соединений других элементов он называет «силановой нефтью». Роль силановой нефти в формировании Земли очень велика.
Д. Н. Тимофеев предложил построение моделей формирования геохимического состава и геохимических реакций в геологических оболочках.
В целом, концепция Д. Н. Тимофеева объединяет приведенные и многие другие показатели, явления на базе многогранной геолого-химической логики.
Доктор геолого-минералогических наук,
профессор, заведующий кафедрой геологии нефти и газа
Южного федерального университета
Э. С. СИАНИСЯН
Доцент Южного федерального университета,
кандидат геолого-минералогических наук
Г. Н. ПРОЗОРОВА
Предисловие

Иногда надо переосмыслить догмы,
чтобы не блуждать в лабиринтах
несуществующих тайн.
В этой книге собраны и обобщены все выдвинутые в разное время автором гипотезы в области строения космических тел Солнечной системы, состава космических тел, процессов, происходящих в их глубинах, а также природы образования углеводородов.
Характерной особенностью книги является глубокий анализ свойств веществ и процессов, протекающих в космических телах на основе расчетов и фундаментальных законов в области физики, ядерной физики, химии, химической термодинамики.
Понимание мира всегда имело ряд концепций, объясняющих наблюдаемые явления. В свое время многим вполне нормальной казалась концепция, что Земля плоская, и стоит на трех слонах, однако потом обнаружилось, что она шар, и летает в огромном космическом пространстве. В настоящее время также имеется целый ряд научных концепций, которые вступают в противоречие с фактами и результатами расчетов. Это следующие спорные концепции:
– горения звезд за счет термоядерной реакции превращения водорода в гелий;
– состава космических тел в основном только из 14 легких элементов;
– состава ядра Земли из железа и кремния;
– происхождения нефти из остатков биогенной массы;
– сосредоточения всего урана в коре Земли;
– температура в ядре Земли около 5000°С;
– расширение Вселенной и ряд других.
Целый ряд общепринятых представлений имеет такие противоречия с законами химии, химической термодинамики, физики, со свойствами веществ, что принимать их за истину нельзя. Появилась новая информация, опровергающая доказательную базу принятых ранее представлений. Так в качестве основного доказательства горения Солнца за счет горения водорода, а не распада урана использовалась догма о том, что урана на Солнце нет. В то время он там не был обнаружен. Но позже уран в фотосфере Солнца обнаружили. Ниточка доказательства лопнула, и сейчас водородная концепция совсем не имеет этого преимущества по сравнению с урановой, но продолжает по инерции доминировать.
Для доказательства наличия железного ядра в центре Земли использовалось наличие у Земли магнитного поля, якобы создаваемого этим ядром. Но впоследствии выяснилось, что магнитные свойства у железа при повышенной температуре исчезают. Доказательство лопнуло, а железное ядро в представлениях людей в центре Земли осталось.
Состав Земли до настоящего времени принимается по составу метеоритов, считавшихся ранее реликтовым веществом Солнечной системы. Впоследствии было определено, что каменные метеориты, это базальты с поверхностных слоев малых космических тел. Метеоритная доказательная база состава элементов Земли рухнула, а состав по инерции во всех справочниках остался.
Неверных представлений в настоящее время собралось достаточно много, и пора провести их некоторую ревизию. Отставить то, что обосновано, а ошибочные представления о водородном горении звезд, железном ядре Земли, составе Земли только в основном из 14 элементов перенести в тот замечательный исторический раздел науки, где сейчас находится философский камень, хрустальный купол небес, Земля, стоящая на слонах, и пророк Илия, громыхает по небу на своей колеснице.
В книге предлагаются новые концепции строения космических тел и наблюдаемых явлений, не имеющие противоречий.
Концепции и гипотезы основываются на трех составляющих.
Первая составляющая это информация о космических телах. При этом следует отделять достоверную информацию от предположений, скорее всего ошибочных. Так, к достоверной информации о Земле можно отнести то, что давление в центре Земли составляет примерно 3,6 миллиона атмосфер, плотность вещества в центре Земли примерно 12,5 г/см3, а состав ядра Земли ограничивается элементами таблицы Д. И. Менделеева. В то же время опубликованные величины температур в центре Земли и Солнца совершенно не обоснованы и взяты, можно сказать, с потолка.
Второй составляющей создания гипотез являются законы, по которым происходят разные процессы в этом мире. Закон всемирного тяготения И. Ньютона, закон расслоения газов Кричевского-Большакова, закон Авогадро и другие.
Третьей составляющей происхождения гипотез являются свойства элементов и их соединений. Оценивая эти три составляющие, и получены те представления, которые открывают новый, во многом необычный, мир звезд и планет нашей Вселенной.
Кроме этих трех составляющих необходимо соблюдать принцип последовательности преобразований. Любое состояние объекта должно быть связано с его предыдущим состоянием, объяснено, какие законы привели к изменениям, и оценено, что произойдет дальше.
В книге новые взгляды на окружающий нас мир представлены как гипотезы. Обычно гипотезами представляют некие умозрительные построения, которые на проверку часто оказываются далеки от действительности. В настоящей работе все гипотезы основаны на фундаментальных законах, расчетах и должны правильней называться результатами научного анализа. Например, трудно назвать гипотезой расчетное время в пути поезда, полученное из средней скорости движения и известного расстояния. Но в данном случае термин гипотезы использован в связи с тем, что большинству специалистов такие представления стали в новинку и не сразу встречаются с пониманием, часто из-за того, что они редко обращаются к использованным в работе законам. В то же время использование термина «гипотеза» полезно для того, чтоб акцентировать внимание читателя на том, что в этом разделе показан новый, неизвестный ранее взгляд на понимание объекта.
В работе намеренно в минимальном количестве используются специальные термины, поскольку многим читателям они могут быть неизвестны. В то же время представлены некоторые расчеты и формулы необходимые для понимания изложенных концепций.
В работе используется большой информационный материал из отечественной и зарубежной научной литературы, а также информация, полученная в результате исследований с помощью советских космических аппаратов. К сожалению, пришлось исключить из использования материалы американских лунных экспедиций, поскольку после получения информации о том, что реальный лунный грунт имеет коричневую окраску, а на американских фотографиях он имеет серый цвет, предположение о том, что эти лунные экспедиции являются мистификацией, получили серьезное подтверждение. Ранее такое предположение тоже было. Ясно, что американцам невозможно было осуществить столь грандиозный проект на базе имеющегося в то время у них ничтожного опыта. Низкий уровень американской космической техники подтвердился, когда два из пяти многоразовых космических аппарата «Челленджер» и «Колумбия» потерпели катастрофу. Одной из основных американских проблем было отсутствие мощных надежных ракетных двигателей. Нет у них таких двигателей и в настоящее время.
Основные гипотезы нового понимания мира были представлены в ряде выступлений на конференциях, семинарах и симпозиумах в институтах Академии наук, и не получили существенных критических замечаний. В то же время были получены хорошие отзывы о выдвинутых в книге предположениях.
В книге затронута только небольшая область знаний о Земле и космических телах Солнечной системы. Понятно, что такие представления могут распространяться и на системы других звезд Вселенной.
Глава 1. Базовые гипотезы

В существующем представлении об окружающем нас мире есть большое количество загадок и заблуждений. Многие представления, которые даются нам в университетах не соответствуют действительности, противоречат фундаментальным законам природы, а существуют только по традиции, другие не могут ответить на ряд вопросов.
Из существующих гипотез образования Солнечной системы наибольшую популярность имеет гипотеза О. Ю. Шмидта, согласно которой наша планетная система и, в частности, Земля возникли в результате сгущения окружавшего Солнце допланетного газопылевого облака [Шмидт, 1960]. С течением времени частицы этого облака слипались и образовали планеты.
Недостатком этой концепции является отсутствие предыстории появления самого вещества Солнечной системы. Концепция существует как бы в одном измерении космической механики, в то время как реально процессы идут еще одновременно в измерении ядерной физики и химии.
Надо отметить, что в эпоху зарождения Солнечной системы, примерно несколько миллиардов лет назад, образовались и сами элементы. Это не случайно, а произошло в результате одного события.
Образования элементарного вещества космических тел Солнечной системы в результате взрыва нейтронной звезды
Гипотеза 1
Исследованиями определено, что вещество Солнечной системы образовалось примерно 4,5 миллиарда лет назад. Такое представление сделано на основании того, что в составе элементов пород имеются радиоактивные изотопы (нестабильные атомы), которые с определенной скоростью постепенно распадаются. Если бы элементы существовали вечно, то нестабильных атомов не могло бы быть. Наличие нестабильных атомов в породах позволяет не только сделать вывод о том, что их элементы образовались, но и по скоростям распада вычислить примерно, когда это произошло.
Объяснение природы образования элементов Солнечной системы требует знаний ядерной физики. Знания этой области науки не являлись сильной стороной геологического сообщества, поэтому, когда возникали такие вопросы, ученые пространно ссылались на процессы, происходящие внутри звезд, или взрывы сверхновых.
Для объяснения явления образования элементов звездных систем выдвинута следующая гипотеза.
Образование элементов звездных систем происходит при взрывах нейтронных звезд
[Тимофеев, 2009; Тимофеев, 2013а]. При взрыве нейтронное вещество звезд распадается на атомы химических элементов, образующие в дальнейшем звездные системы.
Нейтронные звезды не могут существовать вечно. При длительном горении энергетические возможности их исчерпываются, звезда начинает остывать. Нейтронное вещество звезды способно существовать только при очень высоких температурах, а при остывании становится нестабильным. После остывания до критической температуры нейтроны, как это и положено в нашем более холодном мире, способны на β-распад. Происходит взрыв нейтронной звезды с образованием химических элементов. Такие взрывы сопровождаются значительным выделением энергии, сильным излучением нейтронов, протонов, электронов, фотонов (рис.1).

Рис. 1. Образование элементов Солнечной системы при взрыве нейтронной звезды:
1 – нейтронная звезда; 2 – нейтроны; 3 – протоны; 4 – электроны; 5 – ядра атомов; 6 – нейтрино
В нашей Галактике на месте Солнечной системы находилась нейтронная звезда, которая 4,5 миллиарда лет назад взорвалась, образовав туманность. В результате β-распада нейтронов образовался целый спектр элементов, при этом образовалось примерно 1200 видов ядер, из которых более 900 нестабильны.
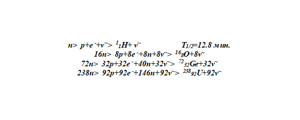
Опишем образования элементарного вещества космических тел Солнечной системы в результате взрыва нейтронной звезды, с использованием формул ядерных реакций. Образования элементов происходят в результате β-распада нейтронов. При распаде единичного нейтрона образуется водород [Емельянова, 1958] При образовании протонов в сгустках нейтронов происходит образование ядер атомов, например, по реакциям рис.2 образуются кислород, германий, уран.

Аналогично образуются ядра и всех других элементов. Нестабильные изотопы элементов распадаются, и большое количество их, имеющих период полураспада менее миллиона лет, распалось полностью до последнего атома, превратившись в другие элементы. Содержание радиоактивных изотопов продолжает уменьшаться, поэтому и в настоящее время состав элементов Земли не постоянен. Он постепенно меняется в сторону увеличения содержания стабильных ядер. Часто при переходе в стабильные атомы, радиоактивные изотопы трансформируются по цепочке через несколько радиоактивных изотопов, иногда с малым периодом полураспада. Такое природное свойство изотопов позволяет присутствовать некоторым нестабильным элементам в составе пород. К таким изотопам относятся, например, радий Ra223 c периодом полураспада Т1/2 =1617 лет или радон Rn222 c периодом полураспада Т1/2 =3,825 дня. Кроме постоянного распада нестабильных изотопов на состав Земли некоторое влияние оказывает космическое излучение, а также излучение собственных радиоактивных элементов, которые вызывают преобразования ядер атомов. Так в результате космического излучения в атмосфере Земли ядра атомов азота трансформируются в ядра изотопа углерода С14 с периодом полураспада Т1/2 =5700 лет. Но все эти преобразования создают незначительное отклонение от уже сложившегося состава планеты.
Мир вокруг сейчас прекрасен,
травка зеленеет, солнышко блестит.
Прежде мир мог быть ужасен,
Вся Земля пылает, всё вокруг горит.




























