Текст книги "Международный учет (МСФО)"
Автор книги: Денис Шевчук
Жанр:
Деловая литература
сообщить о нарушении
Текущая страница: 4 (всего у книги 12 страниц) [доступный отрывок для чтения: 5 страниц]
Основной вопрос, возникающий при учете доходов, касается момента их признания.
Принцип признания доходов означает, что доходы признаются в том отчетном периоде, в котором они заработаны.
Принцип соответствияСогласно принципу соответствия затраченные усилия (расходы) должны соотноситься с достигнутыми результатами (доходами).
ИЛЛЮСТРАЦИЯ 2.1
РЕКОМЕНДАЦИИ ПО ОТРАЖЕНИЮ ДОХОДОВ И РАСХОДОВ

Корректирующие записи
Корректирующие записи производятся для того, чтобы обеспечить:
– отражение доходов в том периоде, в котором они заработаны, и признание расходов в том периоде, в котором они были понесены.
– соблюдение принципа признания доходов и принципа соответствия.
Корректирующие записи необходимо делать всякий раз при составлении финансовой отчетности. Корректирующие записи можно классифицировать либо как (а) предоплату (расходы будущих периодов или доходы, полученные в счет будущих периодов), либо как (б) начисления (начисленные доходы или начисленные расходы).
ИЛЛЮСТРАЦИЯ 2.4
ВИДЫ КОРРЕКТИРУЮЩИХ ПРОВОДОК

ИЛЛЮСТРАЦИЯ 2.5
ОТРАЖЕНИЕ КОРРЕКТИРУЮЩИХ ЗАПИСЕЙ НА СЧЕТАХ ГЛАВНОЙ КНИГИ

Задание: откройте Т-счета и отразите корректирующие записи на основании следующих данных:
(a) остаток материалов на конец периода составляет $200;
(b) доходы заработаны, но не начислены $900;
(c) заработаны доходы, ранее отраженные как доходы, полученные в счет будущих периодов, в размере $400;
(d) задолженность по заработной плате составляет $700;
(e) начислена амортизация $200.
ОТВЕТ:

Начисления
Начисленные доходы – доходы заработанные, но не полученные денежном выражении (или в отношении которых не выставлены счета).
Начисленные доходы могут возникать либо по прошествии определенного времени (как в случае с процентами или арендой), либо в связи с оказанием услуг, за которые не были выставлены счета или получены денежные средства.
При начислении доходов используется корреспонденция счетов активов и доходов.
До корректировки занижены и активы, и доходы.
Корректирующая запись производится по дебету счета активов и кредиту счета доходов.
Для иллюстрации записи, корректирующей начисленные доходы, рассмотрим следующий пример. Допустим, в октябре дантист Майер оказал стоматологические услуги на сумму 800 долларов США, при этом счета за них будут выставлены только в ноябре. 31 октября производится следующая корректирующая запись:
Дт Дебиторская задолженность................... 800
Кт Доходы от оказания стоматологической помощи......... 800
Начисленные расходы – расходы понесенные, но не оплаченные (или в отношении которых не выставлены счета).
Начисленные расходы возникают в силу тех же самых причин, что и начисленные доходы. К ним относятся расходы на проценты, аренду, налоги и оплату труда.
В случае начисленных расходов используется корреспонденция счетов обязательств и расходов.
До корректировки занижены и обязательства, и расходы.
Корректирующая запись производится по дебету счета расходов и кредиту счета обязательств.
Для иллюстрации записи, корректирующей начисленные расходы, рассмотрим следующий пример. Допустим, зарплата сотрудников компании «Schwenk» за последнюю неделю октября составила 4,000 долларов США, а ее выплата произойдет только в ноябре. 31 октября производится следующая корректирующая запись:
Дт Расходы на оплату труда................... 4,000
Кт Задолженность по оплате труда.................... 4,000
Каждая корректирующая запись затрагивает один счет бухгалтерского баланса и один счет отчета о прибылях и убытках.
ИЛЛЮСТРАЦИЯ 2.3
ПОРЯДОК ОТРАЖЕНИЯ РАСХОДОВ И ДОХОДОВ ПО МЕТОДУ НАЧИСЛЕНИЯ

Скорректированная оборотная ведомость
После отражения в журнале всех корректирующих проводок и переноса данных из журнала в Главную книгу составляется скорректированная оборотная ведомость. В такой оборотной ведомости отражаются сальдо по всем счетам (в том числе и по скорректированным) на конец отчетного периода.
Цель составления скорректированной оборотной ведомости – удостовериться в том, что после осуществления всех корректировок сумма всех записей по дебету равна сумме всех записей по кредиту счетов Главной книги.
На основе скорректированной оборотной ведомости составляется финансовая отчетность.
Бухгалтерский учет по методу начисленияПринцип признания доходов и принцип соответствия используются при ведении учета по методу начисления. Согласно кассовому методу учета отражение доходов производится только после получения денежных средств, а расходов – только после их оплаты.
В соответствии с МСФО обязательным к применению является учет по методу начисления, так как использование кассового метода часто приводит к составлению финансовой отчетности, вводящей в заблуждение ее пользователей.
Вопросы1. В соответствии с допущением периодичности:
a. операция может оказывать влияние только на один период времени;
b. расчеты не должны проводиться, если операция оказывает влияние на более чем один период времени;
c. счета предприятия могут быть скорректированы только в том периоде, в котором предприятие прекращает свою деятельность;
d. хозяйственная деятельность предприятия может быть разделена на определенные периоды времени.
2. В соответствии с принципом признания доходов отражение доходов должно производиться:
a. при получении денежных средств;
b. когда доходы заработаны;
c. в конце месяца;
d. в течение периода, когда был уплачен налог на прибыль.
3. На предприятии сферы услуг доходы считаются заработанными по состоянию на:
a. конец месяца;
b. конец года;
c. дату оказания услуг;
d. дату получения денежных средств.
4. Согласно принципу соответствия необходимо обеспечивать соответствие:
a. клиентов и предприятий;
b. расходов и доходов;
c. активов и обязательств;
d. кредиторов и предприятий;
5. Магазин «Джимс Тьюн-Ап» ведет учет в соответствии с принципом признания доходов. 31 июля машина прошла сервисное обслуживание. Клиент забрал машину 1 августа и 5 августа осуществил платеж. «Джимс Тьюн-Ап» получил по почте чек 6 августа. Когда «Джимс Тьюн-Ап» должен отразить заработанные доходы?
a. 31 июля.
b. 1 августа.
c. 5 августа.
d. 6 августа.
6. Компания израсходовала $10 миллионов на приобретение здания офиса. В течение какого периода затраты следует списать на расходы?
a. За период, в течение которого были израсходованы $10 миллионов.
b. В течение первого года эксплуатации здания.
c. В течение срока полезного использования здания.
d. После того, как будут заработаны доходы в размере $10 миллионов.
7. Принцип соответствия предписывает соотнесение расходов с доходами. Другими словами, данный принцип предусматривает соответствие:
a. активов и обязательств;
b. приложенных усилий и достигнутых результатов;
c. дивидендов и инвестиций акционеров;
d. денежных выплат и денежных поступлений.
8. 30 ноября в магазине одежды была продана партия товаров на сумму $1,000. 5 декабря клиенту выставили счет, а 10 декабря магазин получил чек. Магазин одежды применяет принцип признания доходов. На какую дату доходы в размере $1,000 считаются заработанными?
a. 5 декабря.
b. 10 декабря.
c. 30 ноября.
d. 1 декабря.
9. 28 февраля сотрудники мебельной фабрики работали сверхурочно над завершением заказа. Предприятие направило счет клиенту в начале марта, оплата по счету была получена в середине марта. Заработная плата за сверхурочные часы должна быть отнесена на расходы:
a. в феврале;
b. в марте;
c. в течение периода, в котором работники получают заработную плату;
d. либо в феврале, либо в марте, в зависимости от того, когда была выплачена заработная плата.
10. Корректировку счетов необходимо проводить, поскольку:
a. количество счетов недостаточно для отражения всех операций;
b. многие операции затрагивают два и более периода времени;
c. при отражении хозяйственных операций всегда возникают ошибки;
d. руководство не может решить, какие данные следует отражать в бухгалтерском учете и отчетности.
11. Корректирующие записи:
a. не являются необходимыми, при условии что система бухгалтерского учета функционирует надлежащим образом;
b. как правило, необходимы до составления финансовой отчетности;
c. вносятся, когда руководство хочет изменить сальдо по счету;
d. делаются только в отношении счетов бухгалтерского баланса.
12. Корректирующие записи являются необходимыми:
a. поскольку некоторые затраты, которые с течением времени подлежат списанию на расходы, не были отражены в журнале;
b. для того, чтобы обеспечить отражение доходов в том периоде, в котором они были заработаны, а признание расходов в том периоде, когда они были понесены;
c. при отражении расходов в том периоде, в котором они имели место;
d. при отражении доходов в том периоде, в котором они были заработаны.
13. Какое из следующих утверждений неверно?
a. Корректирующие записи необходимы для соблюдения принципа признания доходов.
b. Корректирующие записи необходимы для соблюдения принципа соответствия.
c. Корректирующие записи необходимы для обеспечения соответствия финансовой отчетности принципам МСФО.
d. Корректирующие записи необходимы для приведения счетов главной книги в соответствие с бюджетом организации.
14. Корреспонденция счетов активов и расходов возникает в связи с:
a. учетом обязательств;
b. учетом доходов;
c. корректирующими записями по счетам расходов будущих периодов;
d. корректирующими записями по счетам начисленных расходов.
15. Компания «Рид» приобрела канцелярские товары стоимостью $4,000 и отнесла полную сумму в дебет счета «Канцелярские товары». В конце отчетного периода остаток канцелярских товаров по результатам инвентаризации составил $1,200. В конце периода в журнале должна быть сделана следующая корректирующая запись:
a. дебет счета «Расходы на канцелярские товары», $1,200; кредит счета «Канцелярские товары», $1,200;
b. дебет счета «Канцелярские товары», $2,800; кредит счета «Расходы на канцелярские товары», $2,800;
c. дебет счета «Расходы на канцелярские товары», $2,800; кредит счета «Канцелярские товары», $2,800;
d. дебет счета «Канцелярские товары», $1,200; кредит счета «Расходы на канцелярские товары», $1,200.
16. Начисленные доходы – это доходы:
a. полученные и отражаемые как обязательства до тех пор, пока они не заработаны;
b. заработанные и отражаемые как обязательства до тех пор, пока они не получены;
c. заработанные, но еще не полученные;
d. заработанные, полученные и отраженные в учете.
17. Расходы будущих периодов – это расходы:
a. оплаченные и отражаемые на счетах учета активов до тех пор, пока они не признаны;
b. оплаченные и отражаемые на счетах учета активов после того, как они признаны;
c. признанные, но не оплаченные;
d. признанные, оплаченные и отраженные в учете.
18. Начисленные расходы – это расходы:
a. оплаченные и отражаемые на счетах учета активов до тех пор, пока они не признаны;
b. оплаченные и отражаемые на счетах учета активов после того, как они признаны;
c. признанные, но не оплаченные;
d. признанные, оплаченные и отраженные в учете.
19. Доходы, полученные в счет будущих периодов – это доходы:
a. полученные и отражаемые как обязательства до тех пор, пока они не заработаны;
b. заработанные и отражаемые как обязательства до тех пор, пока они не получены;
c. заработанные, но еще не полученные;
d. заработанные, полученные и отраженные в учете.
20. Корреспонденция счетов обязательств и доходов возникает в связи с:
a. корректирующими записями по счетам расходов будущих периодов;
b. корректирующими записями по счетам начисленных расходов;
c. корректирующими записями по счетам доходов, полученных в счет будущих периодов;
d. корректирующими записями по счетам начисленных доходов.
21. 2 июня прачечная «Ларкин» приобрела расходные материалы стоимостью 6,500 долларов США и отразила покупку как актив. Остаток расходных материалов по результатам инвентаризации, проведенной 30 июня, составил 2,000 долларов США. 30 июня компания должна сделать следующую корректирующую запись:
a. дебет счета «Расходы на материалы», $2,000; кредит счета «Материалы», $2,000;
b. дебет счета «Расходы на материалы», $4,500; кредит счета «Материалы», $4,000;
c. дебет счета «Материалы», $4,500; кредит счета «Расходы на материалы», $4,500;
d. дебет счета «Расходы на материалы», $4,500; кредит счета «Материалы», $4,500.
22. 1 июля обувной магазин «Драйер» перечислил риэлторской компании «Айс» $9,000 в счет оплаты аренды помещения за период в 6 месяцев, начинающийся с 1 июля. Вся сумма была отнесена в дебет счета «Расходы будущих периодов на аренду». При составлении финансовой отчетности по состоянию на 31 июля обувным магазином «Драйер» должна быть сделана следующая корректирующая запись:
a. дебет счета «Расходы на аренду», $9,000, кредит счета «Расходы будущих периодов на аренду», $1,500;
b. дебет счета «Расходы будущих периодов на аренду», $1,500; кредит счета «Расходы на аренду», $1,500;
c. дебет счета «Расходы на аренду», $1,500; кредит счета «Расходы будущих периодов на аренду», $1,500;
d. дебет счета «Расходы на аренду», $9,000; кредит счета «Расходы будущих периодов на аренду», $9,000.
23. По истечении срока, в течение которого начислены расходы будущих периодов, необходимо сделать следующую корректирующую запись:
a. дебет счета учета активов и кредит счета учета расходов;
b. дебет счета учета расходов и кредит счета учета активов;
c. дебет и кредит счета учета активов;
d. дебет и кредит счета учета расходов.
24. По состоянию на 31 декабря 2000 г. до внесения корректирующих записей на конец года сальдо по счету «Расходы на страхование» компании «Эрр» составляло $870, а сальдо по счету «Расходы будущих периодов на страхование» составляло $2,300. Установлено, что списанию подлежат расходы будущих периодов на страхование в сумме $1,800. Скорректированное сальдо по счету расходов на страхование будет составлять:
a. $1,800
b. $870
c. $2,670
d. $1,370
25. Амортизация может быть представлена как процесс:
a. оценки актива по справедливой стоимости;
b. увеличения стоимости актива в течение срока его полезной службы на основе рационального и системного подхода;
c. списания стоимости актива на расходы в течение срока его полезной службы на основе рационального и системного подхода;
d. списания стоимости актива до его реальной стоимости в течение каждого отчетного периода.
26. С точки зрения бухгалтерского учета, приобретение производственных мощностей может рассматриваться как долгосрочное (долгосрочная):
a. начисление расходов;
b. начисление доходов;
c. начисление доходов, полученных в счет будущих периодов;
d. предоплата за услуги.
27. Что не приведет к возникновению доходов, полученных в счет будущих периодов?
a. Предоплаченная арендная плата.
b. Услуги, оказанные в кредит.
c. Продажа абонементов на футбол.
d. Продажа двухгодичной подписки на журналы.
28. Доходы, полученные в счет будущих периодов, классифицируются как:
a. активы;
b. доходы;
c. конрактивный счет уменьшение доходов;
d. обязательства.
29. 31 декабря 2000 года компания «Гомез» составила отчет о прибылях и убытках и бухгалтерский баланс, при этом она не сделала три корректирующие записи. В неверно подготовленном отчете о прибылях и убытках была отражена чистая прибыль в размере $40,000. В бухгалтерском балансе вся сумма активов составила $120,000, обязательств – $50,000, а акционерного капитала —$70,000.
a. Информация по трем корректирующим записям:
b. На оборудование не была начислена амортизация в сумме $9,000.
c. Не выплачена и не отражена в учете заработная плата в размере $6,000 за последние два рабочих дня в декабре. Следующая выплата заработной платы будет в январе.
d. 1 декабря за два месяца вперед была оплачена аренда в размере $10,000. Вся сумма была отнесена в дебет счета «Расходы на аренду».
Задание
Заполните таблицу для корректировки данных, отраженных в финансовой отчетности (вычитаемые суммы заключайте в скобки).

30. По состоянию на 31 декабря компания «Фиоре» располагала следующими данными для осуществления корректировок:
1. Заработаны доходы в сумме $600, оплаченные авансом.
2. Не выплачена заработная плата в сумме $500.
3. Истек период, в отношении которого оплачена аренда в сумме $450.
4. Были использованы материалы на сумму $350.
5. Заработаны доходы, по которым не выставлены счета, в сумме $750.
6. Не оплачены расходы на коммунальные услуги в сумме $200.
7. Начислены проценты в размере $150 по векселю к оплате.
Задание
(а) Для каждого из вышеуказанных пунктов укажите:
1. Вид корректировки (расходы будущих периодов, доходы, полученные в счет будущих периодов, начисленные доходы, начисленные расходы).
2. Корреспонденцию счетов (активы/обязательства, обязательства/ доходы и т. д.).
3. Состояние сальдо до корректировки (занижено или завышено).
4. Корректирующую запись.
(б) Чистая прибыль до вышеперечисленных корректировок составляла $16,500. Какой будет чистая прибыль после корректировок?
Подготовьте Ваш ответ в форме нижеследующей таблицы.

31. Поставьте рядом с каждым из нижеприведенных утверждений соответствующий код.
Код
А. Расходы будущих периодов
B. Доходы, полученные в счет будущих периодов
С. Начисленные доходы
D. Начисленные расходы.
УТВЕРЖДЕНИЯ
1. Доходы еще не заработаны, а денежные средства уже поступили.
2. Остались расходные материалы, которые будут использованы в следующем периоде.
3. Получены доходы в виде процентов, но они еще не заработаны.
4. Арендная плата еще не получена, но уже заработана.
5. Признаны расходы, но они еще не оплачены.
6. Заработаны доходы, которые еще не получены в денежном выражении.
7. Расходы пока еще не признаны, но уже произведены.
8. Признаны расходы по уплате процентов, но они еще не выплачены
32. Каждую неделю в пятницу компания «Марш» выплачивает своим сотрудникам заработную плату в сумме $30,000 за пятидневную рабочую неделю.
Задание
(а) Покажите корректирующие записи, сделанные в конце года, исходя из того, что 31 декабря – это среда.
(б) Сделайте запись в журнале, отражающую выплату недельной заработной платы в день выдачи зарплаты, который приходится на пятницу, 2 января следующего года.
Ответы
29. (5 мин.)

30. (20 мин.)
(а)

(б)

31. (5 мин.)

32. (5 мин.)

Часть 3 Отдельные аспекты учета запасов
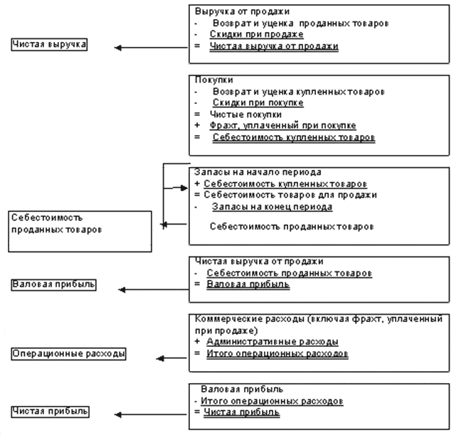
Отдельные аспекты бухгалтерского учета в торговых компанияхТорговая компания – организация, занимающаяся куплей-продажей товаров с целью извлечения прибыли. Торговые компании, покупающие и продающие товары непосредственно потребителям, называются предприятиями розничной торговли, а организации, продающие товары предприятиям розничной торговли, – предприятиями оптовой торговли. Основным источником доходов торговой компании является выручка от продаж. Расходы подразделяются на две категории: (а) себестоимость проданных товаров и (б) операционные расходы. Разница между чистой выручкой от продажи товаров (за минусом возвращенных товаров и скидок при продаже) и себестоимостью проданных товаров называется валовой прибылью от продаж. Например, если выручка от продаж составляет 5,000 долларов США, а себестоимость проданных товаров – 3,000 долларов США, валовая прибыль составляет 2,000 долларов США, а рентабельность продаж – 40 %. После расчета валовой прибыли из нее вычитаются операционные расходы и определяется чистая прибыль (или убыток). Операционные расходы – это затраты, имевшие место в процессе получения выручки от продаж (см. Иллюстрацию 3.3).
ИЛЛЮСТРАЦИЯ 3.3
ПОКАЗАТЕЛИ ОТЧЕТА О ПРИБЫЛЯХ И УБЫТКАХ ТОРГОВОЙ КОМПАНИИ, ИСПОЛЬЗУЮЩЕЙ МЕТОД ПЕРИОДИЧЕСКОГО УЧЕТА ЗАПАСОВ

Все товарные запасы отличаются двумя общими характеристиками: (а) они принадлежат торговой компании на праве собственности и (б) полностью готовы для продажи потребителям.
Запасы производственного предприятия обычно подразделяются на три группы:
a. готовая продукция, полностью готовая для продажи;
b. незавершенное производство – запасы, находящиеся на различных стадиях производства, но еще не прошедшие полный производственный цикл;
c. сырье – запасы, подлежащие использованию в процессе производства.
Определение количества запасов предусматривает (а) проведение инвентаризации остатков товаров и (б) установление наличия права собственности на товары.
В процессе инвентаризации производится физический пересчет, взвешивание или измерение остатков товаров. При проведении инвентаризации в целях предотвращения ошибок необходимо соблюдать установленные процедуры внутреннего контроля.
В отношении товаров, находящихся в пути, право собственности устанавливается исходя из условий, определяющих порядок перехода права собственности:
a. если право собственности переходит в момент отгрузки, то покупатель становится собственником товаров с момента их передачи в распоряжение перевозчика (с момента перехода товаров через поручни судна в порту отгрузки). В этом случае фрахт обычно оплачивает покупатель;
b. если право собственности переходит в пункте назначения, то продавец остается собственником товаров до момента их доставки покупателю. В этом случае фрахт, как правило, оплачивает продавец.
По договору консигнации лицо, на складе которого находятся товары (консигнатор), не является их собственником. Право собственности сохраняется за грузоотправителем (консигнантом) до реализации товаров покупателям. Товары, реализуемые на условиях консигнации, должны отражаться в составе запасов консигнанта, а не консигнатора.




























