Текст книги "Поиски истины"
Автор книги: Аркадий Мигдал
Жанр:
Физика
сообщить о нарушении
Текущая страница: 14 (всего у книги 18 страниц)
ВЫЧИСЛЕНИЯ БЕЗ ВЫЧИСЛЕНИЙ

Если математика – это искусство избегать вычислений, то теоретическая физика – это искусство обходиться без математики.
Из разговоров
няется физическая картина явления и возникает проект ожидаемого решения. Следующая стадия – получение точных количественных соотношений с помощью математического аппарата теории – целиком опирается на первую. Не имея предположительного проекта решения, без качественного анализа нельзя приступать к поискам точного результата. Действительно, удается доказать только те утверждения, которые были заранее угаданы. Из этого правила почти не бывает исключений. Анри Пуанкаре писал: «Догадка предшествует доказательству. Нужно ли указывать, что именно так были сделаны все важные открытия?»
Один из главных элементов качественного анализа – решение задачи на упрощенных моделях, в которых отброшено все несущественное, – усложнять решенную задачу несравненно проще, чем сразу решать сложную.

Размерные оценки
В некоторых случаях многое проясняет простой размерный анализ – размерные оценки входящих в задачу величин и возможные соотношения между ними. Докажем, например, теорему Пифагора из размерных сообра
жений. Из размерности следует, что площадь прямоугольного треугольника можно записать как квадрат гипотенузы с2, умноженный на некую функцию угла f (а) (пусть для определенности а есть угол между гипотенузой с и большим из катетов). То же самое относится к площадям двух подобных прямоугольных треугольников, для которых гипотенузами будут катеты а и b исходного треугольника, а его высота, опущенная из прямого угла, есть общий катет. Поэтому

Сокращая на f (а), получаем теорему Пифагора.
Оценим период колебан-ий маятника. Предположим для простоты, что тяжелый груз с массой m подвешен на легком стержне, массой которого можно пренебречь. Прежде всего выясним, какие величины могут входить в выражение для периода колебаний. Поскольку сила, движущая маятник к положению равновесия, – это сила тяжести, то период может зависеть от ускорения силы тяжести g и от массы маятника т. Кроме того, может войти также длина маятника /. Разумеется, такие величины, как температура и вязкость воздуха, несущественны, если мы пренебрегаем затуханием маятника. Не войдет в задачу также и скорость вращения Земли, если мы не учитываем ускорения Кориолиса, которое возникает от движения точки подвески маятника вместе с Землей. Ничего не поделаешь, чтобы упростить задачу, надо знать, чем можно пренебречь! Из трех оставшихся величин – g, m, l – можно составить только одну комбинацию, имеющую размерность времени. Эта величина равна sqrt(l/g), а следовательно, период Т равен T=asqrt(l/g).
Масса m не вошла в задачу. Безразмерная константа а не может быть найдена из размерных соображений, можно только сказать, что она не очень велика и не очень мала – порядка единицы. Действительно, эта величина должна быть найдена из решения не написанного нами уравнения движения маятника, а числа, возникающие из решения уравнений, встречающихся в физике, как правило, оказываются порядка единицы. Точное вычисление дает для а величину 2л. Таким образом, мы без вычислений, пользуясь только размерным анализом, получили, что период колебаний маятника не зависит от его массы и пропорционален корню квадратному из его длины. Кроме того, мы нашли также и примерную величину периода колебаний.
Обобщенный осциллятор
Во всех областях физики встречаются задачи, связанные с колебаниями около положения равновесия. Такая система независимо от ее устройства называется «осциллятором» – она осциллирует около положения равновесия. Простейший осциллятор – грузик на пружине или маятник; более сложный – натянутая струна, у нее может быть много типов колебаний: колебания с пучностью посередине (основной тон), с одним узлом, двумя узлами и так далее (обертоны). Струна – набор осцилляторов разной частоты. Аналогичный пример – столб воздуха в органной трубе – его можно заставить колебаться с наинизшей частотой – основной тон, – или с более высокой, когда в некоторых точках воздушного столба частицы воздуха будут неподвижны – аналог узлов в колебаниях струны.

Общее для всех осцилляторов заключается в том, что энергия колебательной системы состоит из двух слагаемых. Одно пропорционально квадрату отклонения осциллятора от положения равновесия – это потенциальная энергия. Если q – величина отклонения от положения равновесия, то потенциальная энергия равна
U=gamma q2/2.
Коэффициент gamma называется «жестокостью» осциллятора. Второе слагаемое – кинетическая энергия – может быть записано в виде T = beta q'2/2, где q' – скорость изменения величины q во времени. Величину в можно назвать «массой осциллятора». Если отклонить осциллятор от положения равновесия на величину q0, то запас потенциальной энергии будет U=gamma q02/2. Поскольку осциллятор стремится вернуться в состояние равновесия, эта потенциальная энергия начнет переходить в кинетическую, а когда осциллятор будет проходить положение равновесия, вся потенциальная энергия перейдет в кинетическую. При этом скорость осциллятора q' максимальна. По инерции он проскочит положение равновесия, и в точке – q0 вся кинетическая энергия перейдет в потенциальную, и затем опять начнется движение в сторону равновесия. Как бы ни был конкретно устроен осциллятор, его угловая частота колебаний omega (omega = 2pi /Т) выражается следующим образом через жесткость gamma и массу beta:
omega =sqrt(gamma/beta) , или Т = 2pi / sqrt(gamma/beta).
В случае маятника роль жесткости играла величина g, а «массы» – длина маятника l. Таким образом, можно рассмотреть сразу все осцилляторы независимо от их физической природы.
Вот еще один осциллятор, совсем непохожий на предыдущие, но и к нему применимы те же формулы. Концы катушки из хорошо проводящей проволоки присоединены к конденсатору. Энергия такой системы состоит из двух слагаемых: энергии магнитного поля в катушке и энергии электрического поля, пропорциональной квадрату заряда Q, который в данный момент находится на обкладках конденсатора. Если заряд Q рассматривать как координату осциллятора, то энергия конденсатора будет играть роль потенциальной энергии. Энергия магнитного поля катушки пропорциональна квадрату силы тока, текущего в данный момент по катушке. Но сила тока равна скорости Q' изменения заряда конденсатора со временем. Энергия магнитного поля пропорциональна Q'2 и соответствует кинетической энергии. Такой осциллятор называется «электрическим колебательным контуром».
Если в катушку вдвинуть, а затем вынуть магнит, в цепи возникнут электромагнитные колебания – магнитная энергия будет переходить в электрическую и наоборот. Чем меньше сопротивление проволоки в катушке, тем медленнее будут затухать колебания. Если катушка сделана из сверхпроводника, колебания практически не будут затухать.
Как угадать решение?
Можно иногда выяснить свойства решения, прежде чем будет построена теория, до того как найдены уравнения, описывающие явления. Это пример более сложного анализа размерностей, чем в случае осциллятора.
Одна из труднейших и нерешенных задач теоретической физики – связь гравитационных и электродинамических явлений.
Если такая связь существует, то в результате решения каких-то еще не найденных уравнений будет получено безразмерное число, дающее соотношение между гравитационной постоянной G и величинами, характеризующими электричество, такими, как скорость света с, заряд электрона е и его масса m. Если существенны квантовые явления, в задачу может войти еще постоянная Планка h , которая, как мы видели, характеризует скачки энергии электромагнитных колебаний. Зная размерности величин G, с, е, m, h, нетрудно убедиться, что из этих величин можно составить только две независимые безразмерные комбинации:

Первая из них хорошо известна и называется «постоянной тонкой структуры». Подстановка числовых значений дает alpha = 1/137; ksi = 5cdot 1044. Может ли такое большое

число, как ksi, возникнуть в результате решения каких-нибудь разумных уравнений? Безразмерные числа, которые получаются в физических задачах, обычно имеют порядок нескольких единиц или долей единицы. Поэтому мы вправе ожидать, что величина ksi войдет в задачу в такой форме, чтобы в результате получилось число порядка единицы. Пока мы применяли здравый смысл. Теперь нужно сделать небольшой интуитивный логический скачок.
Правдоподобно, что в теорию войдет натуральный логарифм ksi (ln(ksi) ~100) в комбинации alpha ln(ksi) ~ 1. В этом соотношении уже нет больших чисел. Знание такого соотношения облегчает поиски решения.
Поправки к электродинамике в сильном поле
Это более сложная задача, которая даст некоторое представление о важном методе современной физики – графиках Фейнмана. Метод графиков или диаграмм совершил революцию в теоретических расчетах. Суть его состоит в том, что явления изображаются в виде рисунков, которые расшифровываются в конце работы. Даже без расшифровки, только как иллюстрация процессов, эти графики многое разъясняют. Например, такой рисунок означает рождение и уничтожение пары электрон -
позитрон фотоном, если под пунктиром понимать квант, а под линиями с разными стрелками – электрон и позитрон. Точки на графике означают акт взаимодействия кванта с электроном. Каждый акт вносит множитель е, а весь график показывает, как изменяется закон распространения электромагнитного поля из-за временного рождения пары электрон – позитрон.
Вакуум представляет собой сложную среду, в которой могут виртуально – на время – рождаться пары частиц – античастиц. Особенно ясно это станет после прочтения следующей главы. Поэтому нет никаких оснований считать, что уравнения Максвелла останутся линейными для сколь угодно сильных полей. Оценим порядок величины поправок к этим уравнениям.
Поправку к уравнениям Максвелла лучше всего

нивать по изменению безразмерной величины – диэлектрической постоянной, скажем, в электрическом поле.
Отчего изменяется диэлектрическая постоянная, определяющая скорость распространения света в вакууме в присутствии внешнего поля? Ведь внешнее поле на свет не действует. Механизм состоит в том, что свет на время рождает электрон-позитронную пару, а эти частицы уже взаимодействуют с внешним полем.
На рисунке процесс выглядит так:

Этот рисунок показывает, как изменяется во внешнем поле закон распространения фотона.
Квант на время рождает пару, а электрон и позитрон взаимодействуют с внешним полем (волнистая линия). Каждое включение внешнего поля вносит множитель еЕ, где Е – напряженность внешнего поля.
Теперь нетрудно составить безразмерную комбинацию, дающую поправку к диэлектрической постоянной. Сначала составим безразмерную комбинацию, содержащую поле Е. Так как еЕ имеет размерность энергии, деленной на длину, а величина h/mc – размерность длины, то выражение

безразмерно.
Теперь, глядя на рисунок, нетрудно догадаться, как должна выглядеть поправка к диэлектрической постоянной:
где f – произвольная функция. Заряд е входит в первый множитель квадратично, так как предварительно была рождена пара, а поле Е входит в функцию в безразмерной комбинации beta. При сравнительно малых полях функцию f можно разложить в ряд. Он начнется с члена ~Е2, ведь Е – вектор, а в ответ может входить

только скалярная величина, то есть только квадрат вектора Е.
Итак,

КВАНТОВАЯ ТЕОРИЯ ЧАСТИЦ И ПОЛЕЙ
Декарт научил нас не только сомневаться, но и решать уравнения.
Ж– Фурье
Мы уже много раз поминали всуе знак h – постоянную Планка. Пора приступить к делу и показать не на словах, а на формулах, как эта величина участвует в квантовых явлениях. Одновременно это послужит лучшему пониманию того, что представляет собой качественный анализ и как он работает. Мы получим самые важные соотношения квантовой механики, пользуясь только качественными соображениями, отбрасывая несущественные трудности. Мы найдем уровни энергии атома, вращающегося тела, осциллятора и обсудим следствия применения квантовой механики к электромагнитному и другим полям.

Квантование атома
Согласно квантовой механике энергия электрона в атоме может принимать только дискретные значения.
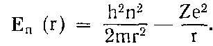
Возможные значения энергии электрона в поле ядра с зарядом Z (для водорода Z = 1) даются выражением

Разности значений Еп для двух разных п (п = 1, 2, 3…) определяют с большой точностью возможные частоты наблюдаемых на опыте спектральных линий. Эта формула – результат точного решения уравнения Шрё-дингера для волновой функции, описывающей движение электрона. Посмотрим, к чему приводит качественный анализ.
Как мы уже знаем, идея де Бройля состояла в том, что каждая частица, в данном случае электрон, характеризуется волновым процессом с длиной волны

где v – скорость частицы. Дискретные значения энергии электрона получаются из условия, чтобы на той длине, на которой движется электрон, укладывалось целое число волн. Если радиус орбиты г, то электрон движется на длине 2лх и n-ному состоянию электрона соответствует условие 2ягД = п или v = hn/mr. Отсюда нетрудно найти кинетическую энергию в n-ном состоянии:

Полная энергия электрона складывается из кинетической энергии и потенциальной энергии в поле ядра, которая отрицательна и равна – Ze2/r. Полная энергия:

Длина г характеризует ту область радиусов, где в основном находится электрон; ее можно оценить из условия, чтобы полная энергия была минимальна. Нетрудно сообразить, что этому соответствуют такие г, при которых первое слагаемое приблизительно равно второму. Действительно, при малых г, когда первое слагаемое больше второго, энергия понижается при увеличении г, а при больших г, когда второе слагаемое много больше первого, г выгодно уменьшать. Точный расчет дает для минимума энергии условие 2T = V. Таким образом, получаем:

При n = 1 это выражение дает правильную оценку
для радиуса атома в наинизшем состоянии. Подставляя значение г в выражение для Е_n (r), получим:

то есть в точности то выражение, которое мы приводили. В действительности электрон может с разной вероятностью находиться на любом расстоянии от ядра. Наше упрощение состояло в предположении, что это расстояние определенное, равное г, и находится из условия минимальности энергии. Разумеется, мы действовали грубо. Поэтому нельзя доверять численному множителю перед формулой. Но все остальное получилось верно! И множитель mZ2e4/h2 и, что особенно важно, зависимость от «квантового числа» n.
Точное решение потребовало бы знания основного уравнения квантовой механики – уравнения Шрёдин-гера – и очень сложной по школьным понятиям математики. То, что мы нашли, и есть качественное решение, когда результат получается с точностью до неизвестного численного множителя, в несколько раз отличающегося от единицы, но характер зависимости от параметров задачи передается правильно. Качественное решение чрезвычайно облегчает получение точного, поскольку выясняются главные черты явления. Более того, если есть качественное решение, а точного не удается получить аналитически, можно найти его без особых потерь в понимании задачи, с помощью вычислительных машин.
Квантование вращения
Как мы сейчас увидим, применение квантовой механики к вращающемуся телу приводит к тому, что момент количества движения может принимать не любые значения, как в классической механике, а значения, кратные величине п. Это относится и к полному моменту, и к его проекции на какую-либо ось. Поэтому вращающееся тело может наклоняться не под всеми углами, а только под некоторыми. Мы уже говорили об этом в разделе о красоте науки, обсуждая внутренние симметрии.
Для больших тел эта скачкообразность незаметна из-за малости h. Иное дело – в атомах и молекулах, где момент невелик. Это удивительное явление, которое
188
было названо «пространственным квантованием», было обнаружено экспериментально еще до создания квантовой механики. В 1922 году Отто Штерн и Вальтер Гер-лах пропускали пучок атомов через неоднородное магнитное поле. Атом представляет собой магнитик с магнитным моментом, пропорциональным угловому моменту. Поэтому атомы с разными проекциями момента на направление магнитного поля по-разному отклоняются. Допустим, момент атома равен единице. Тогда возможны три проекции 1, 0, -1, и после отклонения пучок разобьется на три пучка в соответствии с этими значениями проекции момента. Так и получилось в опыте Штерна – Герлаха.
Получим пространственное квантование из простых рассуждений.
Камень у поверхности Земли может совершать три независимых движения: свободное по двум горизонтальным направлениям и ускоренное под действием силы тяжести по вертикали. Спутник, огибающий Землю, тоже совершает три независимых движения – по меридиану, по параллели и по направлению к центру Земли.
Точно так же у частицы в поле, зависящем не от углов, а только от расстояния до центра (например, ку-лоновское поле ядра), есть три независимых движения: по меридиану, по параллели и по радиусу. Все эти три движения можно квантовать независимо.
Рассмотрим движение по параллели, ось z направим от Южного полюса к Северному. Найдем соответствующую длину волны частицы. Пусть расстояние до оси вращения р. Тогда

Здесь M_z– момент количества движения вокруг оси z, или, что одно и то же, – проекция полного момента на ось z. На длине 2 pi rho должно уложиться целое число волн, иначе не получится стоячей волны. Совершив полный оборот и придя в ту же точку на параллели, мы должны иметь то же самое значение волновой функции, что и до оборота. Таким образом, 2 pi rho=n h, где п – целое число. Из выражения для lambda получаем:

Проекция момента есть целое число, умноженное на h. Максимальное возможное значение проекции полу-
чается, когда полное вращение происходит по оси г. Тогда Mz = M = nmh. Мы получили, что и полный момент квантовой системы есть целое число, умноженное на h.
Будем измерять момент и его проекцию в единицах h. Мы видим, что проекция момента принимает все возможные целые значения от -M/h до M/h. Для момента M/h = 1, Mz /h = 1,0,– 1.
Есть частицы, которые благодаря внутреннему движению имеют полуцелый спин (момент, деленный на h); например, спин электрона и протона равен 1/2. Неудивительно, что для описания внутреннего движения частиц наша простая схема не годится. Но наш результат мало изменится, если в полном моменте участвуют частицы со спином 1/2, как в атоме водорода, где есть только один электрон, спин которого не скомпенсирован другими. Полный момент электрона и его проекция принимают не целые значения, а полуцелые. Так, для основного состояния спин электрона в атоме водорода равен 1/2, а проекции: 1/2, -1/2.
Квантовый осциллятор
Для применения квантовой механики несущественно, как реализован осциллятор – представляет ли он груз, колеблющийся на пружине, или колебательный контур.
Обозначим через q «обобщенную» координату осциллятора – это может быть величина смещения груза из положения равновесия или заряд на обкладках конденсатора в случае колебательного контура. Запишем энергию осциллятора в виде суммы кинетической и потенциальной энепгии:

Величина beta – «масса», а величина gamma– «жесткость» осциллятора. Можно представить, что осциллятор – это некая «частица» с массой р, которая колеблется на пружине с жесткостью у. Введем длину волны lambda волнового процесса, связанного с нашей «частицей»,

В знаменателе, как и в случае электрона, стоит произведение «массы» на «скорость частицы». Поскольку «частица» движется в области от -q до q, то для того,
чтобы образовалась стоячая волна, на «длине» 2q должно укладываться целое число полуволн: 2q/(lavbda/2) =n +1; n = 0,1,2,3. Сначала найдем скорость

Наинизшее значение п равно нулю – на длине 2q укладывается половина длины волны – максимум посередине и нули на краях. В этом состоянии неопределенность импульса del p ~p~ beta q'~h/q , в согласии с соотношением неопределенности.
Подставляя выражение для скорости в кинетическую энергию, получим:

А для полной энергии получим:

Значение q, дающее наименьшую энергию, получится, если приравнять кинетическую и потенциальную энергии:

Подставляя в выражение для энергии, найдем:

Действительно, величина sqrt(gamma/beta)=omega представляет собой частоту колебаний классического осциллятора. При точном расчете для энергии получается выражение:

Таким образом, мы ошиблись только в численном множителе (pi/2 вместо 1) при n, а также в численном значении энергии наинизшего состояния, когда n =0 = 0 (pi h omega/2 вместо h omega/2). Все остальное получилось правильно! Теперь, когда результат получен, следует задуматься над тем, что мы использовали для его получения и что вытекает из полученных нами выражений для энергии осциллятора и для величины q2.
Прежде всего мы применили к нашему осциллятору, не интересуясь его устройством, принципы квантовой механики, установленные первоначально для электронов. Конечно, естественно ожидать, что общие принципы должны быть такими же и для других частиц с массой, отличающейся от массы электрона. Такое обобщение с большой точностью подтвердилось опытом. Но почему эти же принципы приложимы и к колебательному контуру, где роль «координаты» играет заряд на обкладках конденсатора? Здесь мы использовали предположение, которое много раз применялось в теоретической физике XX века. Если две системы имеют энергию, одинаково зависящую от координат и скоростей, то все свойства таких систем совершенно одинаковы, какой бы смысл ни имели «координаты» и «скорости».
Не было ни одного примера, где бы это предположение противоречило опыту. Поэтому мы вправе считать, что решили задачу о применении квантовой механики сразу для всех возможных осцилляторов.
Что означают полученные результаты? Как они переходят в формулы классической механики? Прежде всего мы получили, что энергия изменяется не непрерывно, а порциями величины h omega. Правда, величина h очень мала (в системе CGS h=10-27 эрг-с), и для обычных макроскопических осцилляторов эта скачкообразность практически ненаблюдаема. Правильность выражения для энергии осциллятора проверена с большой точностью для многих видов осцилляторов.
Но мы получили еще одно важное свойство квантового осциллятора. Когда энергия минимальна, классический осциллятор находится в покое в положении равновесия, между тем как квантовый в наинизшем состоянии при п = 0 совершает колебания – «нулевые колебания». Кинетическая и потенциальная энергии этих колебаний порядка h omega. Среднее значение координаты осциллятора равно нулю, а среднее значение квадрата координаты дается приведенной выше формулой. Это замечательное свойство квантовых осцилляторов хорошо проверено на опыте и чрезвычайно важно для современной физики.
Если рассмотреть звуковые колебания твердого тела как набор квантовых осцилляторов, то мы получим, что прн абсолютном нуле температуры атомы твердого тела не неподвижны, а совершают нулевые колебания. Это подтвердили опыты по рассеянию света при низких температурах! Если же теперь мы рассмотрим электромагнитные волны как набор осцилляторов в пустом пространстве, то придем к заключению, что в пустоте, даже когда в ней нет ни частиц, ни квантов, должны происходить «нулевые колебания» электромагнитного поля. И эти колебания были также обнаружены на опыте! Но этот вопрос требует более подробного обсуждения.
Квантование поля
Что же такое квант? Теперь мы достаточно подготовлены, чтобы ответить на этот вопрос. Мы ввели без объяснения несколько терминов: квантование; волновой процесс, связанный с частицей; квантовый осциллятор… Начали действовать, не очень их понимая, и тем не менее знаем теперь, как зависит энергия уровней атома водорода от квантового числа п; узнали, что квантовый осциллятор в наинизшем энергетическом состоянии колеблется, и даже стали применять результаты квантования осциллятора к такому объекту, как колебания электромагнитного поля в пустоте. А потом неожиданно обнаружили, что начали понимать! Это пример того, как возникает понимание в процессе работы. Ведь если бы мы попытались добиться полного понимания до того, как начали наши простые вычисления, ничего бы не получилось.
Но что же такое квант? Пусть имеются два металлических экрана, расположенных параллельно друг другу. Тогда между ними можно возбудить стоячую электромагнитную волну. Как это делается? Вы знаете, что от антенны радиопередатчика бегут электромагнитные волны, которые, попадая на антенну приемника, превращаются в конечном счете в звук в репродукторе или в изображение на экране телевизора. Представим себе, что такая волна попала в пространство между металлическими экранами и распространяется перпендикулярно им. Если между экранами укладывается целое число полуволн, то возникает стоячая волна. Такая волна возникает и в струне. Если вы дернете закрепленную струну, по ней побегут волны, но после отражения от места закрепления установится стоячая волна или несколько стоячих волн разной длины.
Допустим, мы возбуждаем основной тон электромагнитной волны между экранами. Тогда в средней точке амплитуды напряженности электрического и магнитного полей будут максимальны, и поля в этой точке будут периодически колебаться. Но если какая-то величина периодически колеблется, это означает, что мы имеем дело с осциллятором, надо только выбрать подходящую обобщенную координату. Для нашего осциллятора можно считать координатой напряженность электрического поля в средней точке, и роль скорости при этом будет играть магнитное поле, величина которого пропорциональна скорости изменения электрического поля. Вспомните пример колебательного контура, где потенциальная энергия осциллятора была пропорциональна квадрату заряда конденсатора, то есть квадрату электрического поля, а кинетическая энергия – квадрату магнитного поля в катушке.
Ясно, что к этому осциллятору применимы те же принципы квантования, что и к любому другому. А раз так, то энергия нашей стоячей волны может изменяться порциями h omega.
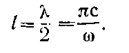
Если расстояние между экранами l, то для основного тона имеем:

Ведь длина волны связана с периодом Т соотношением lambda = сТ, а период связан с частотой со по формуле Т = 2pi/omega.
Если волна находится в состоянии с п = 0 (наинизшее состояние), то говорят, что между экранами нет квантов. Если же волна перешла в состояние с n = 1, то говорят, что появился один квант с длиной волныlambda = 21.
Аналогичный результат можно получить и для любого обертона, когда на расстоянии / укладывается m полуволн. Если nm-номер возбужденного состояния га-той волны, то говорят, что имеется nm квантов с длиной волны lambdaт = 21/т. Таким образом, номер обертона, определяющего длину волны, задает сорт квантов (квант сданной длиной волны), а номер возбуждения nm дает число квантов данного типа. Обычно принято характеризовать кванты не длиной волны, а величиной, которая называется «волновым вектором».
Эта величина просто связана с длиной волны: k=2pi/lambda(omega=ck).
Рассмотрим теперь бегущую волну. В этом случае тоже происходят периодические колебания, и энергия для каждого волнового вектора к имеет вид, полагающийся для осциллятора. Энергия волны опять определяется формулой E_n=(n+1/2)h omega и изменяется порциями величины h omega, но в отличие от стоячей волны бегущая обладает количеством движения, что видно из того, что она при поглощении крылышками радиометра дает им импульс и заставляет вращаться. Поэтому, когда номер возбуждения бегущей волны с волновым вектором к увеличивается на единицу, это означает появление кванта с энергией varepsilon = h omega и импульсом – количеством движения– р = h omega/c. Последнее соотношение представляет собой уже известную нам дебройлевскую связь импульса с длиной волны.
Таким образом, для бегущей волны кванты света можно считать дебройлевскими частицами, с которыми связан волновой процесс, тогда как у кванта стоячей волны средний импульс равен нулю.
Разумеется, нам не удалось добиться полного понимания, но все-таки на вопрос: что же такое световой квант, мы теперь можем дать ясный ответ. Это порция энергии электромагнитной волны с данным волновым вектором.
Эта волна есть квантовый осциллятор.
Кроме того, нам теперь понятно, что такое нулевые колебания электромагнитного поля – это нулевые колебания квантовых осцилляторов, которые соответствуют электромагнитным волнам со всевозможными волновыми векторами – каждому волновому вектору соответствует свой осциллятор.
Применение квантовой механики к другим полям дает аналогичные результаты. Существуют нулевые колебания, то есть флюктуации всех возможных полей в основном состоянии – в состоянии с наинизшей энергией, колебания, состоящие в появлении и исчезновении электрон-позитронных, нуклон-антинуклонных и других пар, пионов и других мезонов. Как и фотон, эти частицы возникают как возбужденные состояния соответствующего поля. Кроме того, существуют поля, которые нельзя считать составленными из частиц, как, например, статическое электрическое или магнитное поле. Понятие поля шире понятия частиц.

Чтобы достичь более глубокого понимания, надо самому решать задачи физики. Пассивное изучение дает лишь слабое представление о тех красотах, которые открываются при самостоятельной работе.





























