Текст книги "Финансовый менеджмент для практиков. Полный курс МВА по корпоративным финансам ведущих бизнес-школ мира"
Автор книги: Алексей Герасименко
сообщить о нарушении
Текущая страница: 5 (всего у книги 7 страниц)
Хотя на бумаге проект и выглядит привлекательным, принимая во внимание мотивацию его спонсоров (директора и финансового контролера завода), даже с учетом внесения технических исправлений в анализ я бы был очень осторожен в принятии решения. Как аналитик или член инвестиционного комитета Pearl Propylene, прежде чем голосовать за проект, я бы как минимум потребовал детального анализа возможности достижения экономии маржи и увеличения объемов производства.
Основные ошибки, возникающие при проработке инвестиционных проектов
Рассмотрев правила и некоторые ошибки при проведении финансового анализа инвестиционных проектов, хотелось бы добавить немного информации на основе своего опыта работы с промышленными инвестициями. Итак, давайте посмотрим небольшой хит-парад основных ошибок, которые допускают аналитики при проработке инвестиционных проектов капитальных вложений. Какие-то примеры вы уже встречали в этой книге, какие-то характерные ошибки я упомяну впервые.
Ошибка № 1 – «Ошибка одной гайки»Эта ошибка очень часто встречается в расчетах при обосновании необходимости ремонта того или иного оборудования. Инициаторам «надо починить такое-то оборудование». Дальше логика примерно следующая: если оборудование завтра не починим, то послезавтра оно сломается. Если оборудование сломается, то мы остановим все производство (ведь в технологической цепочке все компоненты взаимосвязаны). Если мы остановим производство, то потеряем всю нашу прибыль. Далее рассчитывается NPV потерь всей прибыли от производства из-за его остановки. Безусловно, такой проект имеет гигантский NPV, поскольку размер инвестиций в ремонт небольшой части оборудования по сравнению с возможными потерями прибыли из-за остановки производства крайне незначителен. В чем проблема такого расчета эффекта от «замены гайки»? Проблема в том, что рядом имеется точно такая же «гайка» с якобы таким же эффектом от ее замены. Проблема в том, что корректно NPV проекта надо считать только с учетом ВСЕХ мероприятий, необходимых для обеспечения цели проекта. Если цель проекта – продолжение работы производства, то надо учитывать ВСЕ необходимые для продолжения производства мероприятия, то есть ВСЕ ремонты и замены оборудования. В данном случае инвестициями будут не только инвестиции на ремонт или замену «одной гайки», а инвестиции на ремонт или замену «всех гаек».
Итак, при анализе проекта надо учитывать ВСЕ мероприятия и денежные вливания, необходимые для достижения цели проекта. Проект замены «одной гайки» отдельного NPV не имеет. Это всего лишь часть проекта поддержания работоспособности оборудования соответствующей производственной линии.
Ошибка № 2 – «Ошибка инфраструктуры»Эта ошибка, пожалуй, самая дорогая в анализе проектов капитальных вложений. Она каждый год «стоит» компаниям сотни миллионов долларов дополнительных инвестиций. В чем ее суть? При анализе инвестиционных проектов инициаторы учитывают только инвестиции в основное оборудование по проекту, не учитывая инвестиции в необходимую дополнительную инфраструктуру (вспомогательные материалы, энергоресурсы, транспорт). Например, вы «обсчитываете» проект модернизации производственного цеха. Получаете стоимость оборудования, считаете NPV от экономии ресурсов… и только в процессе монтажа оборудования выясняется, что в результате реализации проекта повышаются требования к качеству подаваемой воды, поэтому надо строить дополнительную фильтрационную станцию. Ваше оборудование требует мощности в 100 кВт, а мощность вашего трансформатора всего 80 кВт, поэтому нужно строить трансформаторную подстанцию. И так далее. Иными словами, вы правильно посчитали инвестиции в основную производственную линию, но не учли инвестиции в сопутствующую инфраструктуру. Подчас эти инвестиции могут превышать размер вложений в основное оборудование, не говоря уже о том, что такие вещи удлиняют сроки реализации проектов. В результате NPV проекта, которому вы так радовались, на деле начинает стремительно уходить в небытие. Поверьте, на практике это происходит очень часто.
Сюда же можно отнести и «ошибку сопровождения». В проект включают затраты на закупку основного оборудования или программного обеспечения, но забывают включить затраты на сопровождение этого оборудования и продуктов: оборудование требует технического осмотра и обслуживания, программное обеспечение – платы за обслуживание и техническую поддержку.
Что делать, чтобы не допустить ошибку инфраструктуры? При анализе всегда тщательно изучайте требования основного оборудования к ресурсам (воде, воздуху, электроэнергии) и прочим входящим материалам, к логистике этих материалов и готовой продукции (например, необходимое количество и размер складов цеха, наличие достаточной пропускной способности железнодорожных путей и т. д.).
Ошибка № 3 – «Ошибка узкого места»Эта ошибка часто встречается в проектах, в которых расчет эффекта построен на повышении объема производства. Эффект таких проектов основан на дополнительной марже (выручка минус переменные издержки производства), которую можно получить от продажи дополнительного объема продукции. Обычно такие проекты предполагают некую модернизацию оборудования в каком-то узле производственной цепочки, загруженном на 100 %. Модернизация позволяет повысить производительность этого узла, что должно дать увеличение объемов выпуска. Эффект модернизации состоит в дополнительной маржинальной прибыли от продаж дополнительной продукции. Обычно этот эффект очень значителен.
Производительность участка в целом действительно определяется производительностью его узкого места. На рис. 5 общая производительность участка будет составлять 5 единиц в час, даже несмотря на то что станок А может производить 10 единиц продукта в час. В этом случае «расшивка» узкого места помогает увеличить общий выпуск продукции. Если мы увеличим производительность станка В на одну единицу, производство в целом сможет выпускать 6 единиц продукции в час. Как в этом случае посчитать экономический эффект расшивки? Он будет равен прибыли, которую получит компания от производства дополнительной единицы продукции. Чаще всего при увеличении производительности узкого места на небольшой процент производство дополнительных единиц продукции не потребует от вас увеличения издержек, кроме затрат на материалы и переменных затрат на энергоресурсы. Таким образом, экономический эффект расшивки узкого места будет равен маржинальной прибыли от продажи дополнительной продукции.

Однако в каждый момент времени в технологической цепочке есть только одно «узкое место», которое лимитирует максимально возможный объем производства. Проблем в этом случае две:
● Можно неправильно определить узкое место.
● «Расшивка» одного узкого места приводит к появлению следующего.
Вот, например, схема простого производства (рис. 6).

Очевидно, что в данном процессе узким местом является окраска. Общая пропускная способность системы составляет 50 изделий в час. Предположим, что предлагается проект – купить дополнительное окрасочное оборудование, чтобы удвоить мощности по окраске. Часто бывает, что считают эффект на весь дополнительный объем производства (плюс 50 изделий в час). Однако из схемы очевидно, что реально объем производства повысится только до 75 шт. в час, так как после этого узким местом системы станет отгрузка. Чтобы повысить объем производства до 100 шт. в час, потребуются существенные дополнительные инвестиции на «расшивку» отгрузки, а затем и сборки. В этом случае экономический эффект проекта увеличения мощностей по окраске можно учитывать только на дополнительные 25 единиц. Такое уменьшение может заметно сказаться на окупаемости проекта. Об этом часто забывают.
Что делать, чтобы не допустить подобную ошибку? Прежде всего, надо точно определить узкое место системы. Для этого полезно провести анализ и сделать схему материальных потоков и мощностей производства с полным расчетом максимальных объемов на каждом участке цеха и между цехами (с учетом пропускной способности транспортной инфраструктуры), чтобы определить узкие места. Далее предлагаемые инвестиционные проекты по увеличению объема производства надо анализировать комплексно, чтобы понять, действительно ли они расшивают узкие места и до каких пределов. Вот, например, ряд проектов, которые суммарно должны расшить пропускную способность цеха производства стали металлургического предприятия (рис. 7). Как видите, расшивка достигается за счет комплекса проектов. Узким местом является скрапное отделение, хотя до начала проведения проектов узким местом оно не являлось.

С этой ошибкой мы уже с вами встречались в кейсе Pearl Propylene. Несколько отдельных проектов включаются в состав одного, обычно с целью скрыть отрицательный NPV одного из проектов. Часто это случается в процессе «переговоров» инициатора проекта с подразделениями, от которых требуется выделение ресурсов. Переговоры проходят в стиле «я тебе дам, что ты хочешь, но взамен ты мне отремонтируешь или купишь вот это».
Иногда эта ошибка встречается, когда несколько последовательно идущих проектов связываются вместе. Например, вы считаете проект по приобретению более дорогих сменных запчастей для какого-то оборудования. Суть проекта – сменные части стоят дороже, но служат дольше. По совокупности получается экономический эффект. Сменную часть надо менять каждые три года, а NPV вы считаете на 10 лет (то есть на три с лишним цикла замены). Это неправильно. Считать проект и эффект от него надо на один цикл, то есть на три года. После этого вы должны будете принимать новое бизнес-решение (возможно, к этому моменту появится еще более эффективная сменная часть).
Ошибка № 5 – «Ошибка косвенных эффектов»Эту ошибку вы также видели в ситуации с Merseyside. В этом случае в расчете проекта учитывается непосредственный эффект, приносимый объектом инвестиций (например, новым оборудованием), но при этом игнорируется влияние проекта на другие подразделения (другие цеха производства или другие подразделения компании в целом). В ситуации Pearl Propylene это была необходимость закупки новых цистерн для перевозки пропилена и необходимость снижения производства полипропилена на другом заводе. В рамках одного предприятия это может быть влияние изменений технологии в одном подразделении на производственный процесс другого.
Что делать, чтобы не допускать такой ошибки? На практике хорошо работает метод Пяти «А что дальше?». Его принцип сходен с принципом Пяти «Почему?», используемом в операционном менеджменте. Когда вы хотите докопаться до сути проблемы, можно построить анализ на принципе Пяти «Почему?» (рис. 8). Этот принцип позволяет добраться до причины сквозь внешние проявления проблемы.
По тому же принципу работает и схема Пяти «А что дальше?». Прорабатывая или анализируя инвестиционный проект, надо каждый раз задавать себе вопрос «А что происходит дальше?», стараясь понять, в каком месте заканчивается влияние проекта.

Как инвестиционный процесс работает на практике
В кейсе Pearl Propylene мы видели, что расчеты инвестиционных проектов выходят за рамки финансовой модели. Модель – это всего лишь инструмент для облегчения принятия бизнес-решения в рамках процесса рассмотрения инвестиционных проектов. Сам этот процесс необходим для того, чтобы сократить вероятность принятия и реализации невыгодных для акционеров компании проектов. Давайте рассмотрим, как инвестиционный процесс работает на практике, прежде всего в крупных компаниях.
Сначала мы увидим, где в корпоративной организационной структуре располагается инвестиционная функция, а затем посмотрим сам процесс, этап за этапом. По пути я дам некоторые рекомендации по поводу того, как наилучшим образом организовать инвестиционный процесс в реальности. Эти рекомендации – следствие моей практики. Они могут быть полезны тем, кто собирается построить в своей компании эффективный инвестиционный процесс.
Корпоративная структураСтандартная корпоративная структура управления крупной компании в России, как правило, включает в себя три уровня (рис. 9):

На верхнем уровне компании находится корпоративный центр, роль которого может меняться в зависимости от организации, но в основном это некий единый центр управления общекорпоративными вопросами компании, такими как стратегия, финансирование, отчетность и т. д. Поскольку в крупные компании входят десятки разнородных предприятий, управлять ими всеми из корпоративного центра сложно. В связи с этим крупные компании в качестве следующего уровня управления создают дивизионы. Дивизионы управляют группами предприятий, объединенных по некоему признаку, в основном по продуктовому. Например, крупные вертикально интегрированные горно-металлургические компании обычно имеют три дивизиона: «Уголь», «Руда» и «Сталь». «Уголь» управляет шахтами. «Руда» – добычей руды (горно-обогатительными комбинатами). «Сталь» – металлургическими заводами и заводами, производящими конечную продукцию из металла (иногда конечные продукты выделяют в отдельный дивизион «Метизы»). Крупные нефтяные компании обычно имеют дивизионы «Разведка и добыча» (собственно добыча нефти, или так называемый upstream) и «Переработка и маркетинг» (нефтеперегонные заводы и заправки, или downstream). На третьем уровне управления крупной компании находятся сами предприятия, которые производят продукцию. Безусловно, существуют различные варианты организационных структур, которые мы не будем рассматривать здесь – это тема отдельной книги.
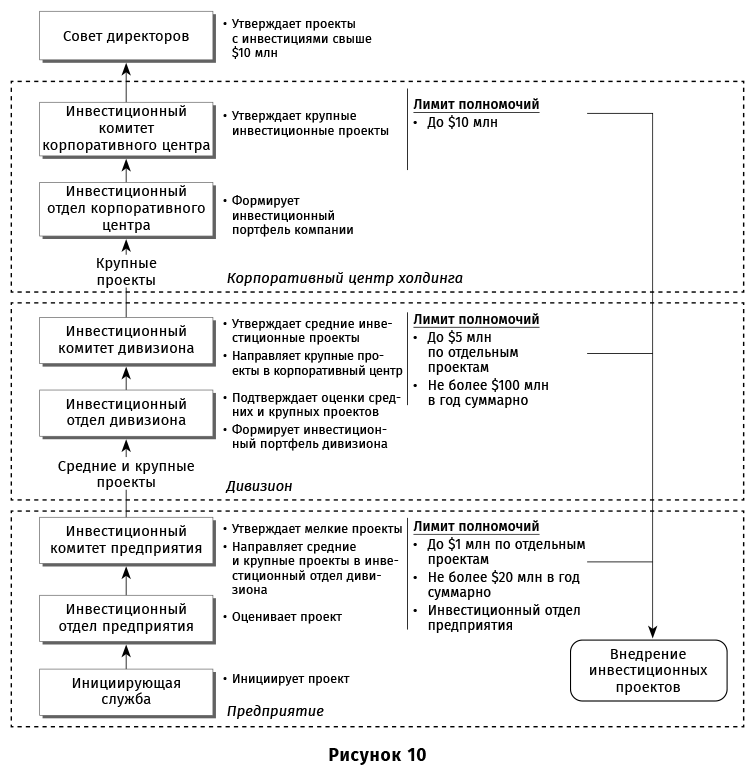
Инвестиционный процесс крупной компании учитывает многоуровневую структуру. Логика при этом проста – чем важнее проект (обычно чем выше инвестиции проекта), тем на более высоком уровне управления компании он рассматривается и контролируется. Вот, например, схема рассмотрения инвестиционных проектов крупной промышленной компании (рис. 10).

А вот распределение полномочий и ответственности по уровням управления в инвестиционном процессе (табл. 12).

Сами инвестиционные подразделения внутри каждой структуры управления могут располагаться по-разному. На практике я видел три основных варианта:
● В виде отдельной структуры. В этом случае в корпоративном центре имеется отдельный топ-менеджер с прямым подчинением генеральному директору компании, отвечающий за инвестиции (его должность называется, например, вице-президент по инвестициям). Соответственно, ему подчиняется инвестиционное подразделение. В этом случае обычно подобная же структура имеется и на уровне дивизионов, и на уровне предприятий (рис. 11).

● В составе финансового блока. В этом случае инвестиционное подразделение корпоративного центра подчиняется финансовому директору компании. Инвестиционные отделы на уровне дивизионов и предприятий подчиняются финансовому менеджеру соответственно дивизиона или предприятия (рис. 12).

● В составе стратегического блока. В этом случае инвестиционное подразделение в корпоративном центре подчиняется вице-президенту по стратегическому развитию. Поскольку на уровне предприятий в этом случае стратегических служб обычно нет (это задача корпоративного центра, максимум дивизионов), то на предприятиях главы инвестиционных отделов подчиняются обычно финансовому менеджеру предприятия либо директору по производству (рис. 13).

Все перечисленные варианты организационной структуры финансовой функции вполне жизнеспособны. Какого-то единственно возможного варианта здесь нет. Выбор оптимальной организационной структуры зависит от:
● личностных особенностей и специализации руководителей. Например, если финансовый директор компании сильный инвестиционщик, а директор по стратегии – нет, то логично, что инвестиционная функция будет подчинена финансовому директору;
● особенностей внутренней культуры компании. Если в компании делается акцент на грамотном управлении проектами и достижении результатов проектов в срок и в рамках бюджета, то инвестиционная функция может быть выделена в отдельный блок. Если акцентируется связь инвестиционных проектов со стратегией, то инвестиционный блок войдет в состав стратегического и т. д.
В этой книге мы не будем рассматривать особенности и порядок формирования организационных структур компаний – на эту тему есть специальная литература. Давайте лучше, узнав, кто реализует инвестиционный процесс в крупной компании, посмотрим на сам процесс.
Инвестиционный процессЧто включает в себя понятие «инвестиционный процесс»? Я разделяю его на четыре основных этапа.
1. Подготовка проекта к рассмотрению.
2. Рассмотрение проекта и принятие решения по нему.
3. Реализация и текущий мониторинг внедрения проекта.
4. Анализ результатов проекта после его завершения.
Я расскажу с точки зрения своего опыта, как выглядит (вернее, как должен выглядеть) инвестиционный процесс в крупной производственной компании. Детали процесса в разных компаниях могут различаться, но в целом обычно все выглядит стандартно. На сайте http://www.gerasim.biz вы сможете найти образцы основных документов, используемых в инвестиционном процессе.
Подготовка инвестиционных проектовБольшинство проектов капитальных вложений инициируются на уровне заводов (иногда в компаниях их называют «активами» или «промышленными площадками»), что неудивительно: промышленные площадки производят продукты, и кто, как не они, лучше знает, какое оборудование необходимо покупать и какие модернизации нужно производить.
Первичная подготовка проекта проводится инициатором (человеком или подразделением), который предлагает проект и наиболее в нем заинтересован. Это нормально: тот, кто больше всех заинтересован в проекте, должен нести наибольшую нагрузку при его проработке. Но менеджеры линейных подразделений обычно не являются специалистами в денежных потоках и инвестиционном анализе, поэтому, как правило, на каждом уровне управления существует инвестиционный отдел, задачей которого является подготовка анализа инвестиционных проектов. Иногда эту роль выполняют планово-экономические отделы.
При анализе специалисты-инвестиционщики строят финансовые модели в Excel, совместно с другими службами предприятия и подразделениями компании анализируют данные, необходимые для подтверждения предположений, и вообще готовят пакет документов, необходимый для рассмотрения проекта.
Здесь хотелось бы упомянуть несколько моментов.
Во-первых, обычно на уровне корпоративного центра формируются методология оценки инвестиционных проектов и единые стандарты этой оценки. Стандарты, как правило, включают в себя:
● требования к процедуре рассмотрения инвестиционных проектов;
● единый набор инвестиционных форм;
● макроданные, которые необходимо использовать всем предприятиям при оценке инвестиционных проектов (единая ставка дисконтирования, курсы валют для пересчета, уровень инфляции, цены на основные входящие компоненты и готовую продукцию и т. д.);
● требования к отчетности по инвестициям;
● критерии принятия или отклонения инвестиционных проектов.
Обычно критерии устанавливают следующие:
● NPV проекта должен быть положительным;
● DPP не должен быть больше 6–8 лет (у разных компаний по-разному);
● IRR не должен быть ниже ставки дисконтирования плюс некий процент.
Вот, например, критерии принятия инвестиционных проектов некоторых российских компаний (табл. 13).

Для чего нужны стандарты? Во-первых, единые стандарты позволяют корректно сравнивать инвестиционные проекты. Представьте, есть два абсолютно одинаковых проекта, в которых два предприятия используют разные обменные курсы и уровень инфляции. В этом случае значения NPV двух проектов могут существенно отличаться, и, соответственно, проекты трудно будет корректно сравнить между собой.
Во-вторых, единые стандарты (методология, инвестиционные формы) дисциплинируют инвестиционщиков в построении моделей и минимизируют количество ошибок. Я очень рекомендую использовать во всех подразделениях компании для оценки инвестиционных проектов единые стандарты.
В-третьих, рекомендую каждый проект закрепить персонально за каким-то одним сотрудником инвестиционного подразделения. Всегда должно быть ясно, кто конкретно выполнял анализ и владеет подтверждающей документацией и информацией по проекту. На практике часто при рассмотрении проекта на уровне дивизионов и корпоративного центра возникают рабочие вопросы. Например, требуют подтверждения или уточнения предположения, использованные в модели. В этом случае необходимо наличие и контактные данные конкретного человека, который сможет дать квалифицированные ответы на все вопросы. Лучше, если по одному проекту контактным лицом будет один человек.
В-третьих, рекомендую ввести в инвестиционный процесс на этапе подготовки проекта к рассмотрению независимую проверку корректности модели и пакета документов по проекту. Ее могут выполнить соседнее подразделение (например, отдел бюджетирования и бизнес-планирования) либо специальные люди внутри инвестиционного подразделения. Например, когда я возглавлял инвестиционное подразделение на одном крупном промышленном предприятии, у меня была так называемая Группа анализа и контроля. Ее задачей была проверка предварительных версий расчетов инвестиционных проектов на предмет отсутствия ошибок, соблюдения методологии и вообще проверки расчетов на здравый смысл. Специалисты этой группы исправляли массу ошибок в расчетах инвестиционщиков. При подготовке проекта инвестиционщики ошибаются – все мы люди. Человек постоянно обновляет данные, исправляет модель. В результате глаз «замыливается» и часто, особенно в сложных расчетных моделях, появляются глупые ошибки. Сделав один раз проверку расчетов на корректность и исправив эти ошибки, можно значительно облегчить рассмотрение и принятие проекта в дальнейшем. Более того, само наличие независимого контроля заставляет инвестиционщика более ответственно подходить к подготовке проекта.
Далее несколько рекомендаций по проработке проектов и разработке их финансовых моделей.
● Информацию от подразделений запрашивайте официально, чтобы получить официальный письменный ответ (рис. 14). Если базировать оценку на неких устных ответах, часто потом при появлении вопросов или проблем в проекте человек отказывается от своего мнения или же просто оказывается, что он неправильно понял вопрос.

● Информацию от поставщиков по характеристикам и ценам на оборудование также получайте письменно – через технико-коммерческие предложения (см. пример на рис. 15). При отсутствии ТКП может возникнуть масса проблем: «неожиданно» изменится цена поставляемого оборудования («ой, извините, это мы без НДС вам цену дали»), его характеристики, условия поставки. Все это может привести к отрицательному фактическому NPV проекта.
● При проработке проекта часто возникает соблазн построить его расчет на экспертных оценках экономии, а не на вычислениях (так проще – не надо возиться со сложной моделью). Как показывает практика, это прямой путь к потере денег. Экспертная оценка – самый ненадежный способ оценки параметров инвестиционного проекта. На практике я встречал массу случаев, когда фактическая проверка экспертной оценки подтверждала ее явно чрезмерную оптимистичность и проект, якобы имеющий положительный NPV, в реальности имел NPV строго отрицательный. Всегда старайтесь базировать предположения на фактах – хронометраже операций, анализе производственных журналов, анализе технических характеристик оборудования. Если нет никакой возможности получить фактическое подтверждение предположений, используйте только письменные экспертные оценки (рис. 15). Они дисциплинируют людей, так как потом им придется держать ответ за свои слова. В письменном виде люди дают экспертные оценки гораздо более близкие к реальности.

● При согласовании расчетов проектов с различными подразделениями компании должен быть четко указан предмет согласования (рис. 16). Это поможет избежать некорректных комментариев, не относящихся к компетенции согласующего менеджера, или фраз вроде: «А я думал, что подписываюсь просто за то, что проект хороший».









