Текст книги "Курс «Трубопроводная арматура». Модуль «Пневмоприводы и приборы управления пневмоприводами»"
Автор книги: Станислав Горобченко
сообщить о нарушении
Текущая страница: 2 (всего у книги 3 страниц)
Раздел 1. Пневмопривод
1. Пневматика. Основные положения
Основные сведения о пневматике и пневматических системах
Промышленное использование пневматики началось более ста лет назад в печатном деле (линотип) и патронном производстве (контрольно-сортировочные автоматы). Широкое же применение пневматики в промышленности, одновременно во многих странах, началось после второй мировой войны, в связи с автоматизацией производства.
Долгое время (до появления промышленных микропроцессорных устройств) пневмоавтоматика являлась почти единственным средством управления технологическими процессами. Ввиду высокой надежности элементов пневмологики есть производства, где эти системы работают до сих пор.
И хотя в современном производстве они почти повсеместно заменены электронными управляющими устройствами, общие объемы применения пневматики не сократились,
а постоянно увеличиваются за счет более широкого применения силовых элементов – пневмоприводов вместо гидро– и электропривода. Современное автоматизированное производство немыслимо без пневматики, которая находится на этапе бурного, как количественного, так и качественного развития.
Развитие пневматики идет по следующим основным направлениям:
– применение современных материалов, которые позволяют:
• исключить появление масляного тумана, который загрязняет окружающую среду и создает опасность здоровью обслуживающего персонала;
• повысить срок службы всех элементов пневмосистемы;
• минимизировать или полностью исключить необходимость обслуживания пневмосистемы;
• исключить утечки сжатого воздуха;
• повысить КПД пневмоприводов;
• обеспечить устойчивость к неблагоприятным факторам окружающей среды, таким как высокие и низкие температуры,
воздействие пыли, влаги, агрессивных химических веществ.
– миниатюризация управляющих устройств, применение группового монтажа (универсальные монтажные плиты, блочные конструкции распределителей, пневмоострова и т. п.).
– создание устройств стыковки пневматических и электронных систем (электропневматические
и пневмоэлектрические устройства).
– применение ресурсо– и энергосберегающих режимов работы пневмосистем (например, использование явления параметрического резонанса позволяет удешевить систему, сделать ее более компактной и существенно повысить КПД).
Основные параметры воздуха
Сжатый воздух, являющийся рабочим телом в системах пневматики, представляет собой смесь газов, молекулы которых, с достаточной для практических целей точностью можно представить в виде мельчайших упругих шариков, движущихся равномерно и прямолинейно в произвольном для каждого шарика направлении со скоростями примерно 1000 м/с. Шарики испытывают постоянные столкновения между собой и со стенками сосуда, в котором находится сжатый воздух. Столкновения молекул со стенками сосуда и создает давление газа.
Давление может быть определено как отношение силы к площади, на которой она распределена:
(1)
Единицы измерения
В международной системе единиц СИ, что является аббревиатурой французского SI (Siste’me International d’Unit’es), единице давления присвоено имя французского ученого Паскаля, автора известного закона о равномерном распространении статического давления по всем направлениям.
Один “Паскаль” равен давлению, создаваемому силой в 1 “ньютон", равномерно распределенной на площади в 1 м2 (Лат. 1 Ра= 1 N/m2).
Это очень малое давление и, поскольку эта единица неудобна, то для измерения используемых в технике стандартных уровней давления введена специальная единица – бар, равная 1/10 Мегапаскаля (Лат. bar. 1 бар = 0,1 МПа = 105 Па).
Удобство этой единицы состоит в том, что она практически равна традиционно используемой технической атмосфере (1 ат. = 1 кгс/см2).
Соотношение: 1 ат = 0,98067 бар.
1 бар = 1,01972 ат
Ожидается, что в будущем к системе СИ перейдут все страны, в том числе и страны с неметрическими системами единиц. В качестве единицы давления в этих странах всё еще используется 1 фунт-сила/кв. дюйм (1 psi).
Соотношение: 1 бар = 14,5 psi
1 psi = 0,06895 бар
Для измерения малых уровней давления используются также миллиметры водяного и ртутного столба.
Соотношение: 1 ат = 10000 мм. вод. ст. = 736 мм. рт. ст.
1 мм. вод. ст. = 9,80665 Па
1 мм. рт. ст. = 1,1333224 Па
Атмосфера Земли на её поверхности развивает давление в одну физическую атмосферу.
Соотношение: 1 атм. = 760 мм. рт. ст. = 1,01325 бар (нормальное давление).
Давление
Давление газа пропорционально его абсолютной температуре Т и концентрации молекул n, которую можно определить как отношение:
(2)
где N – число молекул, находящихся в сосуде;
V – объем сосуда.
Давление P газа равно:
(3)
Коэффициент пропорциональности k представляет собой постоянную Больцмана, равную

Чаще известен объем V сосуда и масса m заключенного в нем воздуха. В предположении, что воздух является идеальным газом, давление P внутри сосуда может быть определено по формуле Клапейрона:
(4)
где R – универсальная газовая постоянная

для воздуха, которая равна внешней работе, совершаемой при постоянном давлении одним килограммом воздуха при нагревании его на 1 градус;
T – температура в градусах Кельвина (абсолютная температура).
Нормальная температура в физике

Различают абсолютное P, избыточное (относительное) Pи и местное атмосферное Pа давления.
Абсолютное давление – это абсолютное значение силы, отнесенное к единице поверхности.
Поэтому абсолютное давление – это разность между давлением в данной точке среды и абсолютным нулем давления, соответствующим давлению в совершенном вакууме, рис. 1.

Рис. 1. Соотношения разных видов давления
Под избыточным (относительным) давлением понимают разность между абсолютным (полным) и местным атмосферным давлением:
(5)
Избыточное давление в соответствии с соглашением всегда положительно. “Отрицательное” относительное (избыточное) давление определяется как вакуумное.
Вакуумным называется давление, меньшее местного атмосферного давления. Местное атмосферное давление может изменяться в зависимости от окружающей температуры, высоты
над уровнем моря и местных погодных условий.
На рис. 1 можно увидеть соотношения между абсолютным, относительным и вакуумным давлениями.
Существует так же дифференциальное давление – это разность между двумя неизвестными давлениями. Этот тип измерения давления обычно используется, чтобы получить падение давления в системе подачи текущей среды. При измерении разности давлений не важно, какое из них считать опорным.
Если концентрация молекул равна нулю, то абсолютное давление в таком сосуде также равно нулю. Можно считать, что на поверхности Земли он обладает некоторой потенциальной энергией, так как весь окружающий его воздух находится под атмосферным давлением Ри, входя в сосуд,
может совершить работу. Так работают многие вакуумные устройства, например вакуумные приводы. Говорят, что эти устройства работают на разряжение.
Сосуд будет также обладать потенциальной энергией, если давление газа внутри него будет больше атмосферного (т. е. Pи > 0). Здесь газ также может совершить работу, но уже при выходе из сосуда
в атмосферу, т. е. привести в действие устройства, работающие на нагнетание.
Поскольку большинство устройств промышленной пневмоавтоматики работает на нагнетание, а магистральное давление существенно больше атмосферного, при расчете усилий удобно пользоваться избыточным давлением.
В термодинамических расчетах, например в формуле (1), пользуются абсолютным давлением.
Высокое давление: Это давление в пневматических системах, находящееся в пределах 3–10 бар.
Используется для запитки большинства промышленных устройств.
Низкое давление: Используется в различного вида датчиках и некоторых управляющих устройствах.
Низкое давление разбито на три диапазона:
• Давление 0,5 бар и менее;
• Давление от 0,5 бар до 1 бара;
• Давление от 1 до 3 бар.
Расход газа
Расход является вторым важнейшим параметром, характеризующим работу любого пневматического устройства, и определяется как количество вещества, проходящее через данное сечение в единицу времени. Поскольку можно измерять как объем вещества, так и его массу,
существует понятие объемного расхода Q и массового расхода G.
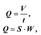
Объемный расход
Схема определения объемного расхода показана на рис. 2.

Рис. 2. Схема к определению объемного расхода
Объемный расход определяется по формулам
(6)
где:
V – объем газа или жидкости, прошедших через данное сечение за определенный промежуток времени;
t – время, в течение которого прошел данный объем газа;
W – скорость потока в сечении (средняя скорость при неравномерном ее распределении по сечению);
S – площадь поперечного сечения потока (см. рис. 2).
Единицы измерения
В системе СИ объемный расход измеряется в м3 /с. Поскольку расход в 1 м3 /с очень велик, в технических характеристиках пневматических аппаратов расход часто указывается в л/мин и в м3/час.
Соотношение: между основными величинами показано ниже

Для жидкостей, из-за их не сжимаемости, объемный расход Q является однозначной характеристикой потока.
В случае воздуха, плотность которого существенно зависит от давления, более определенной характеристикой потока является массовый расход Gm, определяемый как отношение массы воздуха, прошедшей через данное сечение в единицу времени.
Массовый расход
(7)
Соотношение между объемным и массовым расходами:
(8)
где:
Q– объемный расход;
ρ – плотность;
W – скорость потока в сечении;
S – площадь поперечного сечения потока.
Нормальный объемный расход
Для обозначения расходных характеристик в технике используется понятие нормального расхода.
Данный расход Qn измеряется при избыточном давлении на входе устройства 6 бар и 5 бар на его выходе.
Объём проходящего через пневмоэлемент воздуха рассчитывается при нормальных условиях
(при температуре +20°С и абсолютном давлении 1,013 бар, соответствующем 760 мм ртутного столба).
Единицами измерения данного расхода являются Нл/мин (нормальные литры в минуту, для определения массового расхода по нормальному расходу, плотность воздуха берется
при атмосферном давлении).

Рис. 3. Схема измерения нормального объемного расхода воздуха
Расход воздуха при различных режимах истечения воздуха
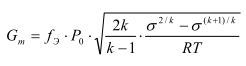
Расход воздуха при подкритическом режиме истечения воздуха (режим при котором отношение давления в полости наполнения к давлению в ресивере (полости истечения) больше 0,5288).
(9)
где:
f Э – эффективная площадь проходного сечения пневмомагистрали, м2,
Pо – давление в полости, из которой идет истечение воздуха, Па,
P1 – давление в полости наполнения воздухом, Па,
k – показатель адиабаты для воздуха,
σ – относительное давление, величина, характеризующая отношение давления в полостях истечения и наполнения.
R – универсальная газовая постоянная (287 Дж/(кг*К)),
Т – температура воздуха в магистрали, К.
Расход воздуха при надкритическом режиме истечения воздуха (режим, при котором отношение давления в полости наполнения к давлению в ресивере менее 0,5288).
(10)
Для определения эффективной площади можно использовать данные, приведенные в монографии проф. Е. В. Герц «Расчет пневматических приводов», М.: Изд-во «Машиностроение», 1975 г.
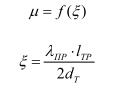
Эффективная площадь проходного сечения определяется по следующей формуле:
(11)
где:
f – площадь трубопровода, м2
µ – коэффициент расхода трубопровода.
Коэффициент расхода определяется опытным путем и зависит от величины ξ.
(12)
где:
λпр – приведенная длина (для пластиковых трубопроводов 0,01).
l тр – длина трубопровода, м
dт – диаметр трубопровода, м.
Давление истечения определяется по следующей схеме, рис. 4.

Рис. 4. Схема определения давления истечения
Pо – давление в полости, из которой идет истечение воздуха, Па.
P 1 – давление в полости наполнения воздухом, Па.
На основе схемы определяются расходно-перепадные характеристики диафрагмы при различных режимах истечения воздуха.

Рис. 5. Расходно-перепадная характеристика диафрагмы при различных режимах истечения воздуха
Плотность газа
Плотность – отношение массы тела к занимаемому им объему.
(13)
Плотность воздуха зависит от температуры и давления. При нормальном (атмосферном) давлении Р= 101325 Па

Заменив отношение массы к объему на плотность в формуле (1), получим уравнение, связывающее плотность с давлением и температурой газа.
(14)
Величина, обратная плотности, называется удельным объемом
(15)
Иногда также пользуются удельным весом γ, под которым понимают отношение веса тела G к занимаемому им объему V.
(16)
(17)
Вязкость газа
Вязкость жидкости и газа характеризует силы внутреннего трения при движении потока воздуха или жидкости и оценивается коэффициентами динамической и кинематической вязкости.
Динамическая вязкость – характеризует внутреннее трение в жидкости или газе.
Если перемещать пластинку площадью S в вязкой жидкости, то на нее будет действовать сила внутреннего трения (рис. 6):

Рис. 6. Схема определения динамической вязкости
(18)
где:
Fтр сила трения пластинки о соседний слой жидкости (газа);
S – площадь пластинки, м2
– градиент скорости в сек -1
µ – коэффициент динамической вязкости [Па ⋅ c].
Динамическая вязкость воды при температуре 200С равна 1МПа с, вязкость воздуха равна 0,01821 МПа.
Вязкость жидкостей резко падает при повышении температуры, а вязкость воздуха и газов возрастает.
Кинематической вязкостью жидкости или газа называется соотношение динамической вязкости к плотности.
(19)
В качестве единицы кинематической вязкости применялся также стокс (ст) и сантистокс (сст) по соотношению:

Для измерения вязкости жидкости используют вискозиметры, например вискозиметр Энглера, который представляет собой цилиндрический сосуд, имеющий диаметр 106 мм (рис. 7). В днище сосуда выполнено отверстие диаметром 2,8 мм. Вязкость в градусах Энглера равна отношению
времени истечения 200 см3 исследуемой жидкости к времени истечения такого же количества дистиллированной воды при температуре 200С.

Рис. 7. Схема определения вязкости по Энглеру
Для пересчета “градусов Энглера” в “Стоксы” для минеральных масел применяют формулу Убеллоде:
(20)
Вязкость масел, применяемых в гидросистемах, лежит в пределах 10–30 0 Е.
Вязкость масла следует учитывать при расчетах скорости пневмопривода, поскольку уплотнения штока и поршня перемещаются по смазанным поверхностям и возникают существенные усилия вязкостного трения, снижающие скорость их движения.
В следящих приводах вязкостное трение играет роль демпфера, снижающего опасность возникновения автоколебаний.
Сжимаемость газа
Сжимаемость – свойство рабочего тела изменять свой объем под действием приложенного давления.
Коэффициент объемного сжатия β равен:
(21)
Несмотря на то, что молекулы жидкости подвижны, заметно сжать жидкость можно только приложив к ней очень большое давление.
Для практических целей можно считать жидкости несжимаемыми.
Термодинамические процессы при постоянном объеме газа
Сжимаемость газов гораздо выше и зависит от давления, температуры и объема, занимаемых ими. Бойлем в 1662 г. в Англии и независимо от него в 1676 г. Мариоттом во Франции было установлено, что если газ занимал некоторый начальный объем Vо и имел давление Ро, то после сжатия его до объема V1 давление его, при условии, что температура газа не изменяется
(изотермический процесс) повысится до величины P1, такой, что произведение начального объема и давления будет равно произведению конечного объема и давления:
(22)
или
(23)
Важным следствием этого закона является то, что поскольку масса газа не меняется, при подстановке значений объемов из формулы (5), получим, что отношение давлений равно отношению плотностей газа:
(24)
Изменение объема может происходить также и при изменении температуры Т тела, что учитывается коэффициентом объемного расширения
(25)
Большинство твердых тел, жидкостей и все газы увеличиваются в объеме при нагревании. Опыты Гей-Люссака в 1802 году показали, что коэффициент объемного расширения всех газов одинаков
(рис. 8), постоянен и равен


Рис. 8. Схема определения коэффициента объемного расширения по Гей-Люссаку.
Шарль установил, что если нагревать некоторую массу газа в закрытом сосуде, то на каждый градус увеличения температуры, давление Р в сосуде увеличивается на 1/273 часть давления Ро при 00С, то справедливо уравнение (рис. 9)

Рис. 9. Схема определения давления газа по Шарлю
(26)
где:
Ро – давление газа при 00C
γ – термический коэффициент давления, равный

t – температура газа в градусах Цельсия.
Равенство коэффициентов α и γ не случайно, а обусловлено равенством отношений давлений и объемов по закону Бойля-Мариотта.
Шкала Цельсия не совсем удобна для измерения температуры газа, для того, чтобы обеспечить прямую пропорциональность давления и температуры. Из закона Шарля можно получить число T=273+t, которое можно рассматривать как температуру, отсчитываемую по новой, так называемой абсолютной шкале Кельвина, в которой цена градуса остается прежней, но за нуль принята точка, лежащая на 273 градуса ниже точки таяния льда.
Уравнение состояния идеального газа связывает все три важнейших параметра газа.
Смысл его состоит в следующем: Для данного количества идеального газа отношение
произведения давления на объем к абсолютной температуре есть величина постоянная.
(27)
Возможны частные случаи уравнения состояния идеального газа, когда один из этих параметров остается постоянным, табл.1.
Табл.1. Частные случаи состояния идеального газа

В случае если теплообмен со средой отсутствует, например, при хорошей теплоизоляции или при малом времени протекания, то процесс называют адиабатическим.
Состояние параметров газа при этом выражается зависимостью:
(28)
где n – показатель адиабаты, равной отношению
(29)
где:
Cp – теплоемкость газа при постоянном давлении;
C v – теплоемкость газа при постоянном объеме.
Теплоемкость вещества определяет количество тепла, которое нужно сообщить одному килограмму вещества, чтобы повысить его температуру на один градус (рис. 9).

Рис. 9. Схема определения теплоемкости
При нагреве газа при Р=const он совершает внешнюю работу по подъему груза на некоторую высоту, поэтому необходимо затратить дополнительное количество энергии. Поэтому Cp > Cv.
Для воздуха показатель адиабаты n равен:

Ввиду большой свободы движения молекул, газовые законы, описывающие изменение их объема значительно более универсальны и точны, чем аналогичные соотношения для твердых тел и жидкостей.
Движение и истечение жидкостей и газов
Если в движущуюся жидкость ввести несколько расположенных по кольцу струек, то они вытянуться в тонкие непересекающиеся линии, которые ограничат так называемую трубку тока (рис. 10).

Рис. 10. Трубка тока
Она замечательна тем, что ни одна частица жидкости или газа не проходит через нее наружу и не проникает снаружи в неё.
Это значит, что количество газа, прошедшее через сечение S1 равно количеству газа, прошедшего через сечение S2 за то же время, т. е. массовые расходы через эти сечения равны.
(30)
Или, подставив значения расходов по формуле (4), получим уравнение неразрывности потока
(31)
Для жидкостей
(32)
а это означает, что равны не только массовые, но и объемные расходы (31)

Обозначим через Е1 энергию газа в первом сечении, Е2
– энергию во втором сечении, Еn – энергию потерь, то есть энергию, израсходованную, например, на внутреннее трение.
Тогда разность двух энергий будет равна энергии потерь
(33)
Энергия сжатого газа равна потенциальной энергии Еп, которая может высвободиться при его расширении, и кинетической энергии Ек, т. е.
(34)
Потенциальная энергия сжатого газа равна произведению его давления P на объем V
Еп = PV (35)
или
(36)
Кинетическая энергия равна
(37)
Энергия потерь выражается как потенциальная энергия столба газа высотой
(38)
Подставив значения энергий в уравнение (19), получим уравнение Бернулли, первое слагаемое которого характеризует динамическое давление, а второе – статическое.
(39)
Для жидкостей, плотность которых в различных сечениях одинакова, это уравнение после умножения обеих частей на ρ, может быть приведена к более простому виду:
(40)
Следствием этого закона является то, что сумма динамического и статического давлений в двух сечениях потока с точностью до потерь постоянна, и, например, при сужении потока, динамическое давление возрастает ровно настолько, насколько уменьшается статическое давление.
Сумма статического и динамического давления представляет собой полное давление
(41)
На рис. 11. представлен сужающийся трубопровод, в двух сечениях которого установлены трубки Пито, измеряющие полное давление, которое почти одинаково в обоих сечениях, хотя скорость W2 > W1 как это следует из уравнения неразрывности потока.

Рис. 11. Измерение полного давления при помощи трубки Пито
Динамическое давление во втором сечении больше, чем в первом, разница же полных давлений незначительна и равна давлению потерь. Это следует из уравнения Бернулли, так как ровно на столько же падает статическое давление.
Если вместо трубок Пито установить трубки Вентури, которые воспринимают только статическое давление, то мы увидим, что статическое давление в сечении 2 значительно меньше, чем в сечении 1. Определив значение статического давления по трубке Вентури, и вычтя его из полного давления определим динамическое давление в сечении 2 по формуле:
(42)
Графически соотношение представлено на рис. 10.

Рис. 12. Соотношение полного, динамического и статического давлений
Аналогичные явления происходят и в газах.
Эффект падения статического давления в струе широко используется в вакуумных преобразователях, например, для запитки вакуумных присосок.
Потери давления
Как мы уже установили, при движении жидкостей и газов возникают потери давления – Рпот.
Они являются следствием двух различных процессов – трения о стенки трубопроводов и завихрений потока.

Рис. 13. Схема определения потерь давления
Поскольку трубопровод неподвижен, то слой, непосредственно примыкающий к его стенке можно считать также неподвижным, следующий слой, расположенный ближе к центру,
перемещается относительно первого с некоторой скоростью, следующий движется с еще большей скоростью и так далее.
Максимальную относительно стенок скорость будет иметь центральный слой.
Если соединить концы векторов скорости плавной кривой, то мы получим годограф скорости (рис. 13), оказывающий распределение скоростей в потоке жидкости или газа.
Для ламинарного течения годограф представляет собой квадратичную параболу, параметры которой зависят от вязкости жидкостей. Если измерить давление по всей длине трубопровода,
то окажется, что давление движущейся жидкости или газа равномерно убывает, поэтому называются потерями по длине.
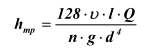
Экспериментальным путем французский ученый Ж. Пуазейль в 1840 году нашел закон, связывающий потери столба с расходом
(43)
где:
υ – кинематическая вязкость,
l – длина трубопровода,
d – диаметр трубопровода,
g – ускорение свободного падения,
Q – объемный расход.
То есть падение давления пропорционально расходу потока Q, (а также его скорости).
Это уравнение может быть представлено в несколько иной записи, которая называется уравнением Вейсбаха-Дарси:
(44)
где:
λ – коэффициент потерь на трение, равный
(45)








