Текст книги "Управление предприятием в условиях дефицита оборотных средств. Финансовое оздоровление предприятия"
Автор книги: Мария Клочкова
Соавторы: Алена Корчагина,А. Кутепов
Жанры:
Управление, подбор персонала
,сообщить о нарушении
Текущая страница: 6 (всего у книги 14 страниц) [доступный отрывок для чтения: 6 страниц]
4.2. Финансовый цикл
Финансовый и производственный циклы
Производственный цикл начинается с момента поступления материалов на склад предприятия, заканчивается в момент отгрузки покупателю продукции, изготовленной из доставленных материалов.
Производственный цикл – это законченный полный круг производственных операций при изготовлении изделия. Вследствие того что производственный процесс протекает во времени и пространстве, производственный цикл можно измерить длиной пути движения изделия и его комплектующих изделий (в метрах). Но чаще всего размерная величина производственного цикла рассматривается во времени, в течение которого изделие проходит весь путь обработки.
По длине пути отсчет цикла ведется от первого рабочего места, где началась обработка изделия и его компонентов, далее по всем рабочим местам – до последнего места. Вследствие того что длина производственного цикла – это не линия, а площадь, на которой размещаются машины, оборудование, инвентарь и прочее, на практике в большинстве случаев определяются не длина пути, а площадь и объем помещения, в котором размещается производство. Тем не менее длина производственного цикла – важный технологический показатель, который непосредственно сказывается на экономике предприятия. Как правило, на практике увеличиваются расходы на межоперационную транспортировку, а также больше требуется производственной площади и больше общих затрат, средств и времени уходит на обработку, если путь движения изделия в производственном процессе длиннее.
Временная продолжительность производственного цикла – интервал календарного времени от начала первой производственной операции до окончания последней. Продолжительность цикла в таком случае измеряется в зависимости от вида изделия и стадии обработки, по которой рассчитывается цикл в следующих временных периодах: днях, часах, минутах, секундах.
Продолжительность производственного цикла во времени (Тц), как видно из таблицы, включает 3 стадии: время технологической обработки изделия (рабочий период, Тр), время технологического обслуживания производства (Т0) и время перерывов в работе (Тн).
Таблица 4.3. Структура временного производственного цикла

Время технологической обработки изделия (рабочий период) – это период времени, в течение которого производится непосредственное воздействие на предмет труда либо самим рабочим, либо машинами и механизмами под его управлением, а также время естественных технологических процессов, которые протекают в изделии без участия людей и техники. На длительность рабочего периода оказывают влияние разного рода факторы. К числу основных относятся:
1) качество проектно-конструкторских работ (отсутствие в них ошибок и просчетов);
2) уровень унификации и стандартизации изделий;
3) производительность технологических машин и оборудования;
4) производительность труда рабочих;
5) степень точности изделия (высокая точность требует дополнительной обработки, что удлиняет производственный цикл);
6) организационные факторы (организация рабочего места, размещение санитарных узлов, складских помещений, где хранятся заготовки, инструмент и пр.).
Недостатки организационного характера увеличивают подготовительно-заключительное время и время на отдых и личные надобности рабочих.
Время естественных технологических процессов – это промежуток рабочего времени, в течение которого изменяются характеристики какого-либо предмета труда без непосредственного вмешательства субъективных факторов, таких как человек и техника (сушка на воздухе окрашенного или остывание нагретого изделия, рост и созревание растений, брожение некоторых продуктов и др.). Для того чтобы ускорить процесс производства, многие естественные технологические процессы подвергаются изменениям в условиях, созданных искусственно (например, сушка производится в сушильных камерах).
Время технологического обслуживания производства включает:
1) стационарный контроль качества и проверку на годность обработки изделия;
2) проверку режимов работы машин и оборудования, их настройку, мелкий ремонт;
3) наведение порядка на рабочем месте;
4) доставку заготовок и материалов, приемку и уборку обработанной продукции.
Время перерывов в работе – это время, когда продукция еще не является готовой и процесс производства не закончен, но на нее не производится никакого воздействия и не происходит изменений ее качественных характеристик. Различают перерывы регламентированные и нерегламентированные. В свою очередь регламентированные перерывы в зависимости от вызвавших их причин разделяются на межоперационные (внутрисменные) и между сменные (связанные с режимом работы).
Межоперационные перерывы можно подразделить на перерывы партионности, ожидания и комплектования.
Перерывы партионности наблюдаются при обработке деталей партиями, когда каждая деталь или узел, поступая к рабочему месту в составе партии, пролеживает дважды (первый раз – до начала, второй раз – по окончании обработки, пока вся партия не пройдет через данную операцию).
Перерывы ожидания характеризуются несогласованностью (несинхронностью) длительности смежных операций технологического процесса. Они возникают в тот момент, когда рабочее место для выполнения следующей операции не освобождается, а предыдущая операция заканчивается раньше, чем планировалось. Рассогласованность продолжительности сопряженных технологических операций, как правило, вызывается различной производительностью или нерегламентированными простоями различного оборудования, на котором осуществляется обработка изделия. Наименее производительная часть оборудования тормозит производственный процесс и является узким местом. Расшивка узких мест – важный резерв увеличения производственной мощности и общего снижения издержек производства, повышения доходности предприятия.
На сборочных участках возникают перерывы комплектования, когда детали и узлы пролеживают в связи с незаконченностью изготовления других деталей, входящих в один сборочный комплект.
Междусменные перерывы определяются режимом работы (числом и длительностью смен). К ним относятся перерывы между рабочими сменами, а также выходные и праздничные дни. К ним могут быть отнесены обеденные перерывы и паузы для отдыха рабочих.Нерегламентированные перерывы связаны с простоями оборудования и рабочих по организационным и техническим причинам, не предусмотренным режимом работы (при отсутствии сырья, поломке оборудования, невыходе на работу рабочих и т. д.). Нерегламентированные перерывы включаются в производственный цикл в виде поправочного коэффициента или не учитываются.
Экономическая функция производственного цикла
Финансовый цикл начинается с момента платежа поставщикам данных материалов (погашения кредиторской задолженности), заканчивается в момент получения денег от покупателей за отгруженную продукцию (погашения дебиторской задолженности).
Для оценки длительности циклов используются показатели оборачиваемости – (период оборота в днях), характеризующие скорость оборота товаров, их движение в сфере обращения, от производителя к потребителю через торговлю.
Производственный цикл:
1) период оборота запасов сырья;
2) период оборота незавершенного производства;
3) период оборота запасов готовой продукции.
Финансовый цикл:
1) период оборота кредиторской задолженности;2) период оборота дебиторской задолженности.
Финансовый цикл (Дни) = Производственный цикл + Период оборота дебиторской задолженности – Период оборота кредиторской задолженности – Период оборота авансов
Таблица 4.4. Финансовый цикл

Сокращение производственного цикла:
1) уменьшение периода оборота запасов;
2) уменьшение периода оборота незавершенного производства;
3) уменьшение периода оборота готовой продукции.Уменьшение периода оборота дебиторской задолженности:
Период оборота дебиторской задолженности = (Средняя дебиторская задолженность / Выручка от реализации за период) × Число дней в анализируемом периоде
Увеличение периода оборота кредиторской задолженности:
Период оборота кредиторской задолженности = Средняя кредиторская задолженность / Затраты на производство продукции за период × Число дней в анализируемом периоде
Таблица 4.5. Соотношение длительности производственного и финансового циклов

Расчет потребности и анализ структуры оборотных средств для финансового цикла
Расчет потребности в оборотных средствах
Для нормального функционирования предприятию необходимо периодически взвешивать свои потребности в оборотных средствах и стараться сохранять их на минимально необходимом уровне.
Действия, необходимые для того, чтобы оценить потребности предприятия в оборотных средствах:
Действие 1. Оценить объем потенциальных продаж предприятия.
Действие 2. Разработать производственный план для данного уровня продаж.
Действие 3. Оценить капиталовложения в сырье и материалы, нужные для данного уровня продаж.
Действие 4. Оценить время и длительность производства и величину капиталовложений в незавершенное производство и запасы готовой продукции.
Действие 5. Оценить капиталовложения в дебиторскую задолженность на основе кредитной политики предприятия.
Действие 6. Обсудить условия кредита, которые предоставляют поставщики сырья, и влияние кредита на потребность в собственных оборотных средствах.
Стоимость сырья и покупных материалов на единицу продукции определяется по калькуляции.
Калькуляция (счет, подсчет) – способ группировки затрат и определения себестоимости продукции по следующим статьям расходов: сырье и материалы; возвратные отходы; топливо на технологические нужды; энергия; основная заработная плата производственных рабочих; дополнительная заработная плата; отчисления на социальное страхование; расходы на подготовку и освоение производства; расходы на содержание и эксплуатацию оборудования; цеховые расходы; общезаводские расходы; потери от брака; прочие производственные расходы; внепроизводственные расходы [17] .Стоимость единицы продукции: в незавершенном производстве определяется на основе расчета; в запасах готовой продукции – по себестоимости; в дебиторской задолженности – по продажной цене.
Управление оборотными средствами предприятия
На всех предприятиях существует доступная первичная информация, которая может быть обработана с помощью представленных выше количественных методик.
Использование этих методологий позволяет получить данные, необходимые для принятия управленческих решений.
Управление оборотными средствами включает решение следующих главных задач:
1) расчет минимально достаточных средств для авансирования оборотных активов с целью бесперебойной и ритмичной работы предприятия. Эта задача решается нормированием оборотных средств;
2) выработка учетной политики предприятия для оптимизации налогообложения путем выбора методов амортизации МБП, списания товарно-материальных ценностей, определения выручки от реализации и т. д.;
3) ускорение оборачиваемости оборотных средств на каждой стадии оборота капитала.
Для решения данных задач на предприятии должны разрабатываться организационные и технико-экономические мероприятия по ускорению прохождения каждого этапа движения оборотных производственных фондов и фондов обращения от оплаты поставщикам до получения денежных средств от потребителей. Эффект ускорения выражается в уменьшении потребности в оборотных средствах.
Основными путями сокращения длительности цикла на этапе закупок производственных запасов являются:
1) оплата предметов труда по факту поставки, т. е. ликвидация транспортного запаса;
2) механизация и автоматизация выполнения складских операций;
3) компьютеризация складского учета.
Основным способом сокращения объема незавершенного производства является сокращение длительности производственного цикла, достигаемое за счет:
1) повышения комплексной механизации и автоматизации производственных процессов;
2) сокращения времени выполнения вспомогательных операций;
3) уменьшения времени внутрисменных и междусменных перерывов;
4) сокращения продолжительности естественных процессов.
На этапе обращения основной задачей является уменьшение времени превращения готовой продукции в денежные средства на счетах фирмы. Пути решения этой задачи:
1) уменьшение запасов готовой продукции вследствие улучшения планирования сбыта;
2) отпуск продукции на условиях предоплаты;
3) уменьшение дебиторской задолженности;
4) ускорение расчетов путем применения компьютерных программ «банк – клиент» и т. и.
Показатели, которые позволяют проводить анализ состояния и следить за эффективностью использования оборотных средств:
1) величина текущих активов и собственных оборотных средств;
2) структура оборотных средств;
3) оборачиваемость отдельных элементов оборотных средств;
4) рентабельность текущих активов;5) длительность финансового цикла.
Показатели использования оборотных средств
Критерием оценки эффективности использования оборотных средств является длительность периода оборота. Чем дольше длится процесс оборачиваемости оборотных средств и чем дольше они находятся на любой его стадии, тем менее эффективно они работают. Это является следствием того, что для поддержания постоянного оборота капитала требуются значительные денежные средства. В этом случае говорят об отвлечении денежных средств на пополнение оборотных средств. Напротив, ускорение оборачиваемости, т. е. фактически снижение совокупных нормативов оборотных средств, высвобождает необходимые денежные средства, и они могут быть направлены на другие цели фирмы.
Эффективное использование оборотных средств характеризуют 3 показателя: коэффициент оборачиваемости, коэффициент оборачиваемости в днях и коэффициент загрузки.
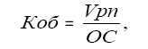
Коэффициент оборачиваемости вычисляется как отношение объема реализованной продукции к среднему остатку оборотных средств:
где Vpn – объем реализованной продукции;
ОС – среднегодовой остаток оборотных средств.
Коэффициент оборачиваемости показывает число оборотов, совершаемых оборотными средствами за определенный период. Из формулы видно, что увеличение количества оборотов (Коб) при неизменном объеме реализованной продукции снижает среднегодовой остаток оборотных средств, т. е. высвобождает денежные средства предприятия.
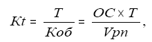
Коэффициент оборачиваемости в днях определяется как отношение числа дней в периоде к коэффициенту оборачиваемости:
где Т календарный период (год, квартал).
Как видно из названия, коэффициент оборачиваемости в днях показывает длительность одного оборота, т. е. за сколько дней оборотные средства совершают полный оборот.
Коэффициент загрузки оборотных средств определяется как отношение среднегодового остатка оборотных средств к объему реализованной продукции:
Коэффициент загрузки оборотных средств является обратным показателем коэффициента оборачиваемости и показывает сумму оборотных средств, затраченных на 1 руб. реализованной продукции.Далее рассмотрены некоторые методы управления оборотными средствами.
4.3. Управление запасами
Управление товарно-материальными запасами
Запасы – материальные ценности, оборотные средства в виде сырья, материалов, топлива, полуфабрикатов, готовой продукции, не используемые в данный момент в производстве, хранимые на складе и предназначенные для последующего использования. Запасы представляют способ резервирования ресурсов для обеспечения бесперебойности производства и обращения, снижения опасности возникновения простоев. Существуют расчетные нормы запасов, которым соответствуют нормативные запасы. Запасы выше этих норм называют сверхнормативными.
Товарные запасы – количество товаров определенного вида, находящихся в данный момент в сфере товарного обращения, в перевозке и на складах, в хранилищах. Наличие товарных запасов служит важным условием непрерывности процесса производства и обращения товаров. В то же время запасы не должны быть избыточными, так как при этом увеличиваются издержки производства и обращения.
Производственные запасы – совокупность всех материалов, которые имеет предприятие, часть оборотных средств предприятия, еще не включенных в процесс производства, не поступивших на рабочие места [18] .
Управление товарно-материальными запасами – контроль за состоянием запасов и установление решений с целью экономии времени и средств за счет минимизации издержек по содержанию запасов, нужных для своевременной реализации производственной программы.
Цель системы управления товарно-материальными запасами – обеспечить непрерывное производство продукции в нужном количестве, необходимого качества и в определенные сроки и на основе этого достигнуть полной реализации выпуска при минимальных расходах на содержание запасов.
Нормирование оборотных средств в производственных запасах
В состав оборотных средств производственных запасов включаются: сырье, основные материалы и покупные полуфабрикаты; вспомогательные материалы; топливо; тара; запасные части; малоценные и быстроизнашивающиеся предметы.
Нормирование оборотных средств в готовых изделиях на складе
Готовая продукция – часть материально-производственных запасов организации, предназначенная для продажи, являющаяся конечным результатом производственного процесса [19] .
Для обеспечения планомерной отгрузки готовой продукции потребителям необходимо время для выполнения различных складских операций (подборки по ассортименту, накоплению изделий до размеров партии отгрузки, упаковки изделий, оформления отгрузочных документов и т. д.). Это производится с учетом того, что продукция в основном реализуется партиями, комплектно и в определенном ассортименте.
Нормы оборотных средств в готовых изделиях на складе включают:
1) подготовительный запас, необходимый для того, чтобы готовая продукция, поступающая от выпускающих цехов, обрабатывалась и подготавливалась к отпуску;
2) текущий запас – норма отпуска;
3) страховой запас , необходимый для компенсирования простоев в производстве, удовлетворения потребностей новых потребителей.
Таким образом, результативное управление товарно-материальными запасами (ТМЗ) позволяет:
1) понизить производственные утраты из-за дефицита материалов;
2) повысить скорость оборачиваемости этой категории оборотных средств;
3) минимизировать излишки товарно-материальных запасов, которые увеличивают стоимость операций и «замораживают» дефицитные денежные средства;
4) уменьшить риск старения и порчи товаров;
5) понизить расходы на хранение товарно-материальных запасов.
Метод ABC-контроля товарно-материальных запасов
В соответствии с методом контроля АВС -запасы сырья и материалов делятся на 3 группы по уровню значимости отдельных видов в зависимости от их удельной стоимости:
1) группа А охватывает ограниченное число наиболее ценных и значимых видов ресурсов, которые требуют постоянного, стабильного и тщательного учета и контроля (возможно, даже ежедневного). Для этих ресурсов необходим расчет оптимального размера заказа;
2) группа В включает те виды товарно-материальных запасов, которые меньше всего значимы для предприятия и которые подвергаются обследованию, проверке и оценке при ежемесячной инвентаризации. Для товарно-материальных запасов этой группы, как и группы А, приемлемы методы определения оптимального размера заказа;
3) группа С содержит обширный ассортимент оставшихся малоценных видов товарно-материальных запасов, приобретаемых, как правило, в большом количестве.Использование ABC-метода для контроля товарно-материальных запасов.
Пример
1. Подсчитаем все затраты на сырье для производства пенициллина.
2. Сгруппируем все 153 вида сырья в порядке убывания их стоимости.
3. В полученном списке выделим 3 следующие группы сырья:
1) группа А – 3 вида сырья, стоимость которого составляет почти 60 % от общей суммы материальных затрат;
2) группа В – 6 наименований, стоимость которых составляет около 30 %;3) группа С – все остальные 144 вида сырья, удельный вес которого в затратах на сырье и материалы меньше 10 %.
Таблица 4.6. Виды сырья

Деление на категории может быть сделано в других пропорциях в зависимости от специфики предприятия в аналитических целях. Классификация ABC-метода позволяет сосредоточиться на контроле только за наиболее важными видами товарно-материальных запасов (группы А и В) и тем самым не потратить лишнее время, сберечь ресурсы и повысить эффективность управления.
Таблица 4.7. Результаты группировки ABC-метода для пенициллина 
Основное внимание при контроле и управлении запасами должно быть уделено трем наиважнейшим видам сырья (категория А).
Дополнительно для 6 видов сырья (категория В) рекомендуется использовать методы вычисления наиболее экономичного (оптимального) размера заказа и оценивать страховой запас.Контроль за остальными видами сырья может проводиться раз в месяц.
Определение наиболее экономичного размера заказа
Пример
На производство и реализацию пенициллина приходится около 50 % от суммы всех затрат, стоимость флаконов занимает почти 30 % от общей стоимости сырья и материалов.
Этот вид товарно-материальных запасов попадает в группу А, поэтому для него на основе плана производства пенициллина стоит установить величину наиболее экономичного объема заказа (Q*).
Введем обозначения следующих величин, которые используются в расчетах:
О – стоимость выполнения одного заказа (расходы на размещение заказа, издержки по получению и проверке товаров);
С – затраты по содержанию на единицу запасов за некоторый период, также включающие расходы по хранению, транспортировке, страхованию вместе с требуемым уровнем прибыли на инвестированный в запасы капитал;
S – величина расхода флаконов за тот же период.
Ниже приведены некоторые предположения, используемые при расчете наиболее экономичного размера заказа.
Допустим, что стоимость выполнения одного заказа (О), затраты по содержанию единицы запасов (С) и величина расхода товарно-материальных ценностей за некоторый период (S) являются постоянными неизменными величинами.Если также принять, что расход запасов устойчив во времени, то:
Средний объем запасов = Q / 2 единиц, где Q – заказанный объем запасов (в единицах); причем предполагается, что он не изменяется в течение всего рассматриваемого времени.
Таблица 4.8. Объем запасов 
Таблица 4.9. Иллюстрации наиболее экономичного (оптимального) размера заказа 
Таблица 4.10. Точка возобновления заказа и резервный запас 
Расчет наиболее экономичного размера заказа для флаконов.
Оптимальный размер заказа определяется по формуле:
В формуле надо исправить знак умножения на х Для нашего примера при планах производства пенициллина в объеме 13 700 тыс. флаконов в месяц расход по нормам составит:
S = 13 700 х 1,045 = 14 316,5 тыс. флаконов в месяц.
Затраты по содержанию запасов по оценкам составляют около 10 % транспортно-заготовительных расходов (925,8 млн руб. в месяц) Значит, затраты по содержанию запасов:
С =0,1 х 925 800/14 316,5 = 6,47 тыс. руб. на тыс. флаконов в месяц
Стоимость выполнения одного заказа (О) составляет примерно 100 тыс. руб.Наиболее экономичный размер заказа равен:
Q* = (2 х 14 316,5 х ЮО) / 6,47 = 665,2 тыс. флаконов
Отсюда следует, что заказы должны поступать 14 316,5 / 655,2 = 22 раза в месяц.
Выводы
У большого количества предприятий имеется доступная и очень важная информация, которую можно применять при контроле товарно-материальных запасов.
Для того чтобы выявить наиболее значимые виды товарно-материальных запасов, группировки материальных затрат должны проводиться для всех типов запасов.
В итоге выделения по стоимости отдельных видов сырья и материалов среди них можно определить конкретную группу, контроль за состоянием которой имеет главное значение для управления оборотными средствами предприятия.
Важно определить наиболее целесообразный размер заказа и задать величину резервного (страхового) запаса для самых значительных и дорогих видов сырья и материалов.
Расчеты показали, что из соображений экономии средств при производстве пенициллина необходимо стремиться к таким размерам заказов, чтобы флаконы поступали ежедневно; страховой запас при этом может быть равен 3—5-дневной потребности во флаконах.
Замечания, касающиеся внедрения рассчитанного оптимального размера заказа.
Так как приведенные расчеты являются в значительной мере теоретическими, они, естественно, не учитывают расходы на транспортировку сырья и материалов.
Необходимо сравнить экономию, которую может получить предприятие за счет внедрения оптимального размера заказа, с дополнительными транспортными затратами, которые появляются при осуществлении этого предложения. Например, ежедневная поставка сырья и материалов для производства пенициллина в рассматриваемом примере может потребовать содержания большого парка грузовых автомашин; транспортно-эксплуатационные издержки могут превысить «экономию», которую дает оптимизация размеров запасов.
Предложение, которое позволяет реализовать определенный выше наиболее экономичный размер заказа, состоит в следующем: возможно создание консигнационного склада используемого сырья поблизости от предприятия.
В управлении запасами продукции на складе могут быть использованы такие же приемы, как и при управлении запасами товарно-материальных ценностей, в частности метод АВС.
На базе анализа запросов потребителей и производственных возможностей и при помощи описанных выше методик можно определить наиболее целесообразный план поступления готовой продукции на склад и размер страхового запаса.
Затраты на хранение, учет и другие расходы, связанные с обеспечением размеренности поставки произведенной продукции, необходимо сопоставить с преимуществами, которые дает непрерывное обеспечение традиционных потребителей и реализация периодических срочных заказов.Рассмотрим другой частный прием, связанный с переходом на наиболее выгодный метод списания затрат: пример того, как списание в производство материалов по последней цене их приобретения (метод ЛИФО см. выше) позволяет устранить инфляционное занижение расчетной себестоимости готовой продукции и тем самым избежать преждевременной уплаты части налога на прибыль.
Управление себестоимостью готовой продукции Расчет себестоимости реализованной продукции за некоторый период времени.
Себестоимость реализованной продукции = Себестоимость товарной продукции + Стоимость остатков на начало периода – Стоимость остатков на конец периода
Себестоимость – стоимостная оценка используемых в процессе производства продукции (работ, услуг), природных ресурсов, сырья, материалов, топлива, энергии, основных фондов, трудовых ресурсов, а также других затрат на ее производство и реализацию [20] .
В условиях высокой инфляции, когда постоянно увеличиваются цены на сырье, очень важно правильно выбрать способ списания материалов в производство.
Переход от приема списания по средней цене за определенный период времени к методу ЛИФО, при котором сначала списываются материалы по цене конечного приобретения, даст возможность увеличить себестоимость товарной продукции и при этом уменьшить налогооблагаемую базу.При этом стоимость прежде купленного сырья (по относительно низким ценам) делится по запасам ТМЗ, незавершенного производства и готовой ироду кии и и повышается себестоимость реализованной продукции.
Пример выгоды, полученной при переходе на метод ЛИФО
Для начала дадим приблизительную оценку экономии, которую может приобрести предприятие, если перейдет с метода списания материалов в производство по средней цене на метод по себестоимости времени приобретения материально-производственных запасов (ЛИФО) за счет снижения налога на прибыль. В себестоимости продукции предприятия доля сырья и материалов составляет 47 + %.
Нужно заметить, что до недавнего времени предприятие имело достаточный запас прибыльности, чтобы реализовать предложенный метод управления себестоимостью.
При себестоимости товарной продукции в среднем 12,5 млрд руб. в месяц стоимость сырья будет равна 5,875 млрд руб. Разовый рост цен на сырье и материалы на 5 % может привести к повышению себестоимости реализованной продукции на 293,75 млн руб. в месяц (0,05 х 5 875), если использовать метод ЛИФО.
При списании на производство по средней цене себестоимость увеличилась бы на 146,9 млн руб. Таким образом, экономия по налогу на прибыль при ставке налога 35 % составила бы 51,4 млн руб. за месяц, или 616,8 млн руб. в год.
Сравнение выгод, получаемых при переходе на метод ЛИФО с метода ФИФО и средних цен.Сопоставим экономию, которую может иметь предприятие при уплате налога на прибыль при переходе в списании сырья и материалов от метода ФИФО к методу средних цен и методу ЛИФО.
Таблица 4.11. Расчет на 1000 руб. себестоимости товарной продукции 
В наилучшем варианте при переходе в списании сырья и материалов с метода ФИФО на метод ЛИФО экономия по налогу на прибыль составляет 8 руб. на 1000 руб. товарной продукции.
Замечания, касающиеся предложения перехода к методу ЛИФО.
Введение и реализация такого предложения будет иметь позитивный итог при следующих обстоятельствах:
1) если норма рентабельности будет существенно ниже уровня инфляции;
2) если продолжительный промежуток времени себестоимость товарной продукции за месяц существенно выше учетной стоимость остатков готовой продукции на складе на конец этого месяца;
3) если покупка сырья и материалов будет производиться систематически с перерывом не больше месяца;
4) если предприятие имеет определенный запас рентабельности (прибыльности), и поэтому переход на метод ЛИФО не повлечет за собой убытков и, как результат, штрафов и других санкций со стороны налоговых органов.
Переход на метод ЛИФО учета затрат. Итоговые замечания.
Если применить переход на метод ЛИФО с метода ФИФО (списание материалов на себестоимость готовой продукции по цене первых по времени закупок), то в этом случае экономия по налогу на прибыль может быть в 2 раза выше, чем в случае перехода с учета издержек по средней цене.Дополнительную экономию при использовании метода ЛИФО может дать снижение налога на имущество, поскольку в этом случае остатки сырья и материалов на конец отчетного периода будут оцениваться по наименьшей за весь период цене.
4.4. Управление дебиторской задолженностью
Дебиторская задолженность – задолженность предприятий по платежам данному предприятию. Такие предприятия называются дебиторами. Дебиторская задолженность характеризует отвлечение средств из оборота данного предприятия и использование их дебиторами.
В управление дебиторской задолженностью входят:
1) определение политики предоставления кредита и инкассации для различных групп покупателей и видов продукции;









![Обложка: Честь Воина [CИ]](/files/books/110/no-cover.jpg)