Текст книги "Флот, революция и власть в России: 1917–1921"
Автор книги: Кирилл Назаренко
Жанры:
История
,сообщить о нарушении
Текущая страница: 9 (всего у книги 28 страниц) [доступный отрывок для чтения: 11 страниц]
Итак, можно констатировать, что отношение высшего руководства Советской России к «старым» офицерам сложилось достаточно быстро (к весне 1918 г.) и было вполне определенным: генеральный курс был взят на строительство регулярной армии с обязательным использованием офицерских кадров и созданием для них необходимого минимума условий для деятельности. Тормозом в этом процессе служили не колебания верхов, а позиция низов – рядовых солдат и матросов, которые подозрительно относились к любым акциям властей, направленных, как им казалось, на восстановление позиций старого офицерства. Эту позицию разделяла и часть старых большевиков. Главным логическим аргументом в пользу антиофицерских настроений было утверждение о нелояльности к Советской власти «старого» офицерства в основной массе. В действительности, на наш взгляд, имело место распространенное чувство недоверия масс к бывшим офицерам, сочетавшееся с желанием занять командные высоты в армии.
* * *
Противоположная установка существовала у старых большевиков по отношению к матросам. К Октябрю 1917 г. моряки завоевали репутацию «красы и гордости революции», которая и закрепилась за ними позднее в публицистической и научно-исторической литературе. В то же время, дискуссия о причинах и ходе Кронштадтского восстания 1921 г. поставила вопрос о выступлении матросов против большевиков. Такой поворот традиционно пытались объяснить сменой состава матросов Балтийского флота за годы Гражданской войны, появлением среди них политически незрелых новобранцев, «иван-моров», однако последние исследования вполне убедительно показывают, что «главными действующими лицами [Кронштадтского мятежа] были военморы л[инейных] к[ораблей] “Петропавловска” и “Севастополя”, и военморы безусловно не молодые, ибо таковых там было меньшинство…»[314]314
Кронштадтская трагедия 1921 года: Документы / Сост. И. И. Кудрявцев. М., 1999. Кн. 2. С. 30.
[Закрыть] «В результате на линкорах “Петропавловск” и “Севастополь” – главной политической и боевой силе восстания – старослужащие составили 4/5 их команды»[315]315
Елизаров М. А. Еще раз о причинах Кронштадтского восстания в марте 1921 года // Отечественная история. 2004. № 1. С. 167–168.
[Закрыть].
Процент членов РКП(б) среди моряков Балтфлота был очень высоким. По данным М. А. Молодцыгина, в 1920 г. «коммунистами являлись 9 тыс. военных моряков Балтфлота из 18,9 тыс. чел. – 47,9 % (март)»[316]316
Молодцыгин М. А. Красная Армия: Рождение и становление. С. 195.
[Закрыть]. Через год, в марте 1921 г. численность Балтийского флота составляла 20 350 чел., то есть выросла незначительно. Вряд ли в несколько раз сократилась за это время партийная прослойка среди моряков. Процент коммунистов в сухопутных войсках был значительно меньше. Так, в июне 1920 г. в 4-й армии Западного фронта партпрослойка составляла 12,6 %, в 1-й конной армии в апреле– мае того же года – 10,7 %, в частях непосредственно подчиненных штабу Западного фронта – 8,1 % (июнь). В 12-й армии Юго-Западного фронта членов партии в феврале 1920 г. было 17,6 %, в 5-й отдельной армии – 10,7 %. По родам войск члены партии распределялись в апреле 1920 г. в 9-й армии (действовавшей на Северном Кавказе) следующим образом: максимальная партийная прослойка – в авиачастях – 25,8 %, затем – в автоброневых частях – 14,3 %, кавалерийских –13,5 %, железнодорожных – 13,3 %, связи – 12,4 %, инженерных – 11,7 %, артиллерийских – 11,1 % стрелковых – 9,2 %, а в тыловых – 6,2 %. Даже в таком технически сложном роде войск, как авиация процент коммунистов был ниже, чем на Балтийском флоте. В авиачастях действующей армии в начале 1920 г. среди летчиков и летчиков-наблюдателей было 24,1 % коммунистов, а на 15 ноября того же года – 37,8 %373. Другими словами, процент коммунистов на Балтике был очень высок, выше чем где бы то ни было в сухопутной армии. Несмотря на это, Кронштадтский мятеж состоялся.
Примечательно, что именно экипажи линкоров были главной движущей силой революционного движения на флоте в 1917 г., они же оказались в центре событий в марте 1921 г. Вместе с тем команды кораблей Минной дивизии Балтийского флота были наименее революционны, о чем свидетельствуют монархист Г. К. Граф и большевик Ф. Ф. Раскольников. После Октября экипажи эсминцев относились к Советской власти критически, а летом 1918 г. петроградские власти вынуждены были и вовсе разоружить корабли Минной дивизии[317]317
Подробнее см. Елизаров М. А. Левый экстремизм на флоте в период революции 1917 года и Гражданской войны (февраль 1917 – март 1921 гг.): Дис. … д-ра ист. наук. СПб., 2007.
[Закрыть]. В то же время на малых кораблях флота религиозные настроения были, по-видимому, сильнее, чем на больших. Вот один пример. 28 июня 1918 г. наркому Л. Д. Троцкому С. Е. Саксом была направлена телеграмма: «По военному ведомству [вышел] приказ, разрешающий полку или какой-либо части пользоваться услугами духовенства за счет государства. На основании этого дивизия подводных лодок Балтийского моря вышла с ходатайством о предоставлении им права найма Священника (с прописной буквы в оригинале. – К. Н.) с отнесением расхода на счет государства. [Прошу] указаний, не встречается ли с Вашей стороны препятствий для удовлетворения ходатайства. Сакс»[318]318
РГА ВМФ. Ф. р–342. Оп. 1. Д. 118. Л. 81.
[Закрыть].
Единственным непротиворечивым объяснением такой смены политических симпатий представляется следующее. Матросы во время Первой мировой войны, а особенно матросы крупных надводных кораблей, находились в совершенно других условиях, по сравнению с солдатами на фронте. Служба матросов крупных кораблей практически не отличалась от службы в мирное время. Участие этих кораблей в боевых действиях было эпизодическим, а потери экипажей – ничтожными по сравнению не только с сухопутной армией, но и с экипажами подводных лодок, тральщиков или эсминцев. Вообще, на малых кораблях, особенно на подводных лодках, служба была, во-первых, значительно напряженнее и опаснее, во-вторых, роль каждого матроса малого корабля в обеспечении его боеспособности была значительно выше, а в-третьих, на тральщике, подводной лодке или миноносце у матросов было гораздо меньше возможностей укрыться от глаз начальства, чтобы обсудить волновавшие их проблемы, поделиться собственными взглядами на происходящее. Служба на малом корабле значительно сильнее сплачивала командный состав и матросов. Наконец, аудитория у нелегального агитатора на крупном корабле всегда шире, чем на небольшом, поэтому даже один – два члена революционной группы способны создать там ячейку сторонников и организовать выступление, пример чему – восстание на броненосце «Потемкин».
На крупных кораблях для матросов прибавлялось еще несколько важных раздражителей. Это полное отсутствие возможности выделиться, совершить подвиг, получить медаль, крест или, как высшую награду, производство в офицеры, так как в «полноценные» строевые офицеры невозможно было попасть из-за существовавшего сословно-образовательного барьера, который после Февральской революции сменился образовательным. В сухопутной же армии даже в царское время было законным производство нижнего чина в офицеры за боевые заслуги, при отсутствии образовательного ценза (предъявлялось только требование самой элементарной грамотности).
Многолетняя монотонная служба была, пожалуй, основным источником недовольства моряков. Ведь подавляющее большинство экипажей линкоров прослужило к 1917 г. от 4 до 8 лет, и нетрудно посчитать, насколько увеличились их сроки службы к 1921 г. В конце 1917 г. демобилизационные настроения на флоте были практически так же сильны, как и в сухопутной армии. 16 ноября 1917 г. приказом ВМК № 12 были уволены со службы матросы срока призыва на действительную службу 1905 г. с 1 декабря 1917 г., а 1906 г. – с 15 декабря[319]319
РГА ВМФ. Ф. р–5. Оп. 1. Д. 82. Л. 27.
[Закрыть]. Таких насчитывалось примерно 8,5 тысяч человек. Однако к середине января 1918 г. увольнение этих категорий было еще «не вполне закончено»[320]320
РГА ВМФ. Ф. р–5. Оп. 1. Д. 82. Л. 27.
[Закрыть]. 30 декабря 1917 г. матросы призыва 1908–1910 гг. потребовали уволить их не позднее 15 февраля 1918 г.[321]321
РГА ВМФ. Ф. р–5. Оп. 1. Д. 17. Л. 7.
[Закрыть]
Кстати, в сухопутной армии в период позиционных боев также усиливалось недовольство солдат войной, в период маневренных боевых действий (даже отступлений) недовольство проявлялось меньше. «В сводках военной цензуры неоднократно подчеркивалось, что “плохое настроение вызвано бездействием”, что все за мир, так как “осатанело стоять”, что “бездействие увеличило количество толков о мире”, что “опротивели окопы”»[322]322
Асташов А. Б. Русский крестьянин на фронтах Первой мировой войны // Отечественная история. 2003. № 2. С. 77.
[Закрыть]. Легко себе представить, что на бездействовавших линкорах и изредка выходивших в море крейсерах ощущение томительного бездействия было еще более угнетающим, чем в окопах.
Революционной пропаганде способствовало то, что в Петро граде, Гельсингфорсе или Ревеле было легко достать нелегальную литературу. Специфика рядового состава парового флота такова, что конфликт матросской массы с офицерством становится почти неизбежным и более острым, чем аналогичный конфликт в армии. Восстания моряков в России (в 1905–1906 и 1917 и 1921 гг.), в Австро-Венгрии (в феврале 1918 г.), в Германии (в ноябре 1918 г.), во французском флоте в Черном море (в апреле 1919 г.), в британско-индийском флоте в Бомбее (в феврале 1946 г.) подтверждают эту тенденцию. Вероятно, причинами такого поведения матросов являются не только принадлежность многих из них к рабочему классу и сравнительно высокий уровень общего образования и специальной подготовки, но и особенности повседневной жизни на кораблях, превратившихся в огромные, сложные, но часто бездействующие механизмы.
Тенденция к обострению отношений матросской массы и офицеров наблюдалась в русском флоте задолго до 1917 г. Протопресвитер армии и флота (в 1911–1917 гг.) Г. И. Шавельский писал: «Детальнее говорить о флоте мне трудно: я сравнительно мало наблюдал внутреннюю жизнь флота, меньше был знаком с его личным составом и с его распорядками и укладом всей его жизни. При моих сравнительно не частых соприкосновениях с флотом у меня получалось впечатление, что в отношениях между офицерами и матросами есть какая-то трещина. Мне тогда казалось, что установить добросердечные отношения между офицерским составом и нижними чинами во флоте гораздо труднее, чем в армии. Это зависело и от состава нижних чинов и от условий жизни во флоте. Армейские нижние чины были проще, доверчивее, менее требовательны, чем такие же чины флота. И разлагающей пропаганде они подвергались несравненно меньше, чем матросы, бродившие по разным странам и портам. Совместная жизнь матросов с офицерами бок о бок на кораблях, при совершенно различных условиях в отношении и помещения, и пищи, и разных удовольствий, и даже труда – больше разделяла, чем объединяла тех и других. До революции флот наш блестяще выполнял свою задачу. Но матросская масса представляла котел с горючим веществом, куда стоило попасть мятежной искре, чтобы последовал страшный взрыв. И этот взрыв в самом начале революции последовал и унес он множество жертв»[323]323
Шавельский Г. И. Воспоминания последнего протопресвитера… Т. 1. С. 105, 109.
[Закрыть].
Это взгляд со стороны. А вот что писал о взаимоотношениях офицеров и матросов В. А. Белли: «Первой особенностью обстановки во флоте, когда я в него пришел совсем молодым офицером, было ослабление авторитета офицеров в глазах матросов, взаимное недоверие, а отсюда – понижение уровня дисциплины. Точнее сказать, внешне дисциплина существовала, но корни ее постепенно подгнивали»[324]324
Белли В. А. В российском императорском флоте… СПб., 2005. С. 149.
[Закрыть]. Он же отмечал, что во время войны «становилось томительно скучно от бездеятельности. Наряду с этим с фронтов шли невеселые сведения, внутри страны постепенно нарастало недовольство правительством, войной и начавшимися продовольственными затруднениями. Да и на кораблях росло революционное движение»[325]325
Там же. С. 295.
[Закрыть].
Протестные настроения были присущи матросам, особенно из экипажей крупных кораблей. Они, в общем, были обращены против любой существующей власти. В 1917 г. они обратились против самодержавия, а затем и против Временного правительства. В 1921 г. эти настроения оказались обращены против большевиков. Не случайно, что в 1905 г. центрами революционного движения стали броненосец «Потемкин», крейсера «Очаков» и «Память Азова», в 1915 г. революционное выступление произошло на линкоре «Гангут». Точно так же во время Кронштадтского мятежа экипаж линкора «Петропавловск» оказался в центре событий. В то же время команды малых судов (миноносцев или подводных лодок) в основном сохраняли лояльность существующему режиму, во всяком случае, не они являлись инициаторами выступления.
В современной историографии есть тенденция преувеличивать степень политической самостоятельности матросов, тенденция превращать их стихийные и слабо оформленные протестные настроения в сложившуюся систему политических взглядов. Например, в своей докторской диссертации А. М. Елизаров пишет: «При этом матросы действовали как самостоятельная политическая сила, независимая от своих союзников по Октябрьскому восстанию – большевиков»[326]326
Елизаров М. А. Левый экстремизм на флоте в период революции 1917 года и Гражданской войны (февраль 1917 – март 1921 гг.): Дис. … д-ра ист. наук. СПб., 2007. С.30.
[Закрыть]. На наш взгляд, он неправомерно ставит на одну доску «матросов» и «большевиков» и рисует военных моряков как оформившуюся политическую группировку. С другой стороны, А. М. Елизаров верно уловил тенденцию к выходу флота на политическую арену и превращению его, по нашей терминологии, из «традиционного» в «политический».
Отдельно следует рассмотреть вопрос о причинах убийств офицеров матросами с марта 1917 г. и до начала 1918 г. Характерно, что именно убийства в Кронштадте и Гельсингфорсе произвели сильное впечатление на общественное мнение. Эти расправы нашли отражение в литературе того времени, в частности в «Оде революции» В. В. Маяковского:
А после!
Пьяной толпой орала.
Ус залихватский закручен в форсе.
Прикладами гонишь седых адмиралов
вниз головой
с моста в Гельсингфорсе!
До сих пор сила того непосредственного впечатления чувствуется в научной и популярной литературе, когда расправа над несколькими десятками флотских офицеров привлекает иногда большее внимание исследователей и публицистов, чем жертвы Гражданской войны, число которых исчисляется сотнями тысяч, если не миллионами. В то же время убийства офицеров солдатами сухопутной армии имели единичный характер (во всяком случае, относительно численности офицерского корпуса и потерь, которые он понес к этому времени в боях) и прошли почти незамеченными, как для современников, так и для историков. Единственным исключением, быть может, является часто упоминаемое мемуаристами и историками убийство генерала Н. Н. Духонина в Ставке 20 ноября 1917 г.
Причины возмущения матросов в Кронштадте в марте 1917 г. и позднее имели сложный характер. Вне всякого сомнения, в основе протестных настроений моряков лежали причины социального характера. При этом рабочая прослойка среди матросов, хотя и была в меньшинстве в процентном отношении, но, безусловно, задавала тон в кубриках. Почва для выступления матросов под социалистическими лозунгами к 1917 г. была подготовлена социально-экономическими и политическими условиями русской жизни. Однако на флоте общий фон протестных настроений дополнялся другим важнейшим фактором психологического, а не политического свойства. Все то же накипевшее возмущение, складывавшееся из двух основных составляющих – томительного бездействия и ощущения непроходимого барьера и отчужденности между офицерами и нижними чинами – толкало матросов на выступление против самодержавия, а потом и против Временного правительства.
После победы Октябрьской революции настроения матросов начали меняться. С одной стороны, нарастание экономических трудностей и Брестский мир с его последствиями (вроде потопления половины Черноморского флота), с другой – возникшая политическая борьба между большевиками, анархистами и левыми эсерами, дезориентировали матросов. Начавшаяся Гражданская война породила у многих из них желание уклониться от борьбы. Желание «отсидеться» от Гражданской войны в составе бездействующих флотов, было свойственно не только офицерам, но и матросам. Как правило, оно облекалось в форму желания защищать страну от внешнего врага, а не участвовать в «братоубийстве». Так, 4 августа 1918 г. в Калуге состоялся съезд бывших военных моряков, на котором присутствовало 120 или 122 человека (последняя цифра в документе написана неразборчиво). На съезд, по предложению Л. Д. Троцкого, был командирован представитель морского ведомства – помощник комиссара Упрузамора, недавний член ВМРК А. В. Баранов. Он предложил всем участникам съезда записаться в Волжскую флотилию. «Мой доклад критиковали со всех сторон, например, указывали, – почему разоружили минную дивизию, почему расстреляли Щастного и т. п., на что я давал ответы». Никто из моряков не хотел идти на Волгу, но изъявляли желание служить в Кронштадте и Петрограде. «Из состава съезда было видно, что большинство собралось сынков кулаков и мешочников-спекулянтов»[327]327
РГА ВМФ. Ф. р–5. Оп. 1. Д. 194. Л. 242.
[Закрыть]. Несколько участников съезда комиссару все же удалось уговорить ехать на Волгу. 10 августа Э. М. Склянский наложил на доклад А. В. Баранова резолюцию: «Пользуясь законами войны и революции, нужно в подобных случаях с особенно ярыми противниками советского режима поступать со всей беспощадностью»[328]328
Там же.
[Закрыть].
Демобилизация и переход комплектования флота на вольный найм позволила вернуться к мирной жизни морякам старшего возраста, а также тем, кто устал от войны и службы. Тяготы «Ледового похода» порождали желание отплатить немцам за пережитое. Вместе с тем разочарование некоторых матросов в политике большевиков толкало их в объятия левых эсеров и анархистов, выступавших за «революционную войну». Видимо, этими обстоятельствами объясняется тот факт, что в апреле – мае 1918 г. на Балтийском флоте среди матросов появляется довольно много сторонников возобновления военных действий против Германии. После Октября в умах большинства населения России прочно укоренился образ матроса-революционера, и даже если конкретные моряки исповедовали политические взгляды, далекие от революционных, стереотипный образ определял отношение к ним. Мемуарист Г. К. Граф писал: «Правильно учитывая значение матросов, высшее командование Добровольческих армий, однако, никак не могло отрешиться от предубеждения против них даже в тех случаях, где было бы выгодно с военной точки зрения думать и действовать иначе. Морские офицеры, находившиеся тогда в армии, предложили испытать матросов, как боевой элемент, но получили ответ, что это – немыслимо, так как слишком велика общая ненависть к “синим воротникам”. Эту ненависть можно объяснить только тем, что многие отожествляют всех матросов, отказываются верить, что среди них есть хорошие люди»[329]329
Граф Г. К. На «Новике». С. 374.
[Закрыть].
В годы Гражданской войны Балтийский флот был зажат в районе Кронштадта – Петрограда и находился на голодном пайке, как продовольственном, так и топливном. Эти обстоятельства значительно усиливали фактор усталости от томительного бездействия. Расшатанная за 1917 г. дисциплина не могла быть восстановлена без смены матросского состава. Действительно, практически все командные посты в РККФ продолжали занимать бывшие офицеры или гардемарины, недоверие к которым сформировалось у матросов за предреволюционный период и прочно закрепилось в их сознании в феврале – октябре 1917 г. Нельзя и думать о том, что подъем красного флага на корабле и появление на нем комиссара могло загладить глубокую пропасть между бывшими офицерами и матросами. Утомление моряков не было секретом для наблюдательных современников: «Лейтмотивом является жажда отдыха, надежда на демобилизацию в связи с окончанием войны и на улучшение материального и морального состояния, с достижением этих желаний по линии наименьшего сопротивления. Все, что мешает достижению этих желаний масс или удлиняет путь к ним, вызывает недовольство»[330]330
Доклад начальника 1-го специального отдела ВЧК Фельдмана в Особый Отдел ВЧК: 10 декабря 1920 г. // Кронштадт 1921: Документы о событиях в Кронштадте весной 1921 г. / Сост., введ. и прим. В. П. Наумова, А. А. Косаковского. М., 1997. С. 20.
[Закрыть], – писал в декабре 1920 г. начальник 1-го специального отдела ВЧК Фельдман в Особый отдел ВЧК о настроениях матросов Балтийского флота.
Выводы, к которым мы пришли в результате изучения вопроса о политическом выборе моряков в 1917–1921 гг., неоднозначны. У матросов и офицеров в то время было много материальных, бытовых и психологических проблем. Старые накопившиеся обиды не могли быть забыты сразу после победы революции и способствовали росту взаимной подозрительности и недоверия. Советская власть уже через полгода своего существования взяла твердый курс на строительство регулярной армии и флота, сопровождавшееся возрождением организационных форм регулярных вооруженных сил, что воспринималось некоторыми чуть ли не как полный крах революции. Возрождение «офицерщины» вызывало острую реакцию не только рядовых красноармейцев и краснофлотцев, но и старых революционеров-подпольщиков. Не следует поэтому недооценивать трудности возрождения регулярных вооруженных сил и сводить этот многоплановый процесс к изданию серии нормативных актов.
Глава III
Материальное положение военных моряков
Одним из важных факторов обеспечения лояльности военнослужащих правящему режиму является их достойное материальное обеспечение. К сожалению, этот вопрос остается в тени, когда заходит речь об офицерском корпусе русской армии и флота начала ХХ в. Попытаемся восполнить этот пробел и проследить динамику изменения материального положения военнослужащих во время Первой мировой и Гражданской войн. Представляется правильным дать оценку материального положения матросского и офицерского состава одновременно, что позволит определить степень привилегированности положения офицеров по сравнению с матросами.
В дореволюционное время уровень материального обеспечения морских офицеров был весьма высоким и превышал уровень окладов в сухопутной армии. Денежные выплаты состояли из жалованья (по чину), столовых (по должности), квартирных (в зависимости от чина и местности, где проходила служба) и «морского довольствия» (по должности). Жалованье выдавалось за прошедший месяц, а столовые – на месяц вперед. Обычное соотношение жалованья, столовых и квартирных (при соответствии чина занимаемой должности) составляло 2:2:1, хотя на практике случались и отклонения от этого правила.
Существовала система доплат за различные командировки, караулы, исполнение поручений. Например, за сутки в карауле обер-офицерам полагалось 30 коп., а штаб-офицерам – 60 коп. Высшим чинам морского ведомства жалованье определялось каждый раз персонально, особым «высочайшим повелением». Существовал особый вид денежных наград, так называемая «аренда», оставшаяся от тех времен, когда адмиралу могли пожаловать поместье с крепостными. В начале XIX в. пожалованье поместий прекратилось и было заменено денежной суммой, представлявшей собой эквивалент дохода с подобного поместья, которое как бы сдавалось в аренду – отсюда и название этой выплаты. За долговременное командование кораблями полагалась определенная доплата[331]331
Официально она называлась доплатой «за сбережение и продолжительную, определенную сроком, без значительных исправлений, службу вверенных им судов».
[Закрыть].
Сумма, получаемая высшими должностными лицами морского ведомства, значительно превышала денежное содержание, которое получали «рядовые» адмиралы. Например, в 1904 г. некоторые адмиралы получали такие годовые оклады: А. А. Бирилев (главный командир флота и портов, начальник морской обороны Балтийского моря и военный губернатор Кронштадта) – 14 тыс. руб., Н. И. Скрыдлов (главный командир флота и портов Черного моря) – 15 тыс. руб., Н. М. Чихачев (состоявший в Департаменте промышленности, наук и торговли Государственного Совета) – 22 тыс. руб., Ф. К. Авелан (управляющий Морским министерством) – 28 тыс. руб. и Е. И. Алексеев (наместник на Дальнем Востоке) – 55 тыс. руб. Если эти адмиралы выходили в море (что случалось не особенно часто) они получали еще морское довольствие. Некоторые адмиралы, прежде всего начальники министерских управлений, получали деньги из остатков сумм от «завершения ежегодной сметы», примерно по 1,5–2,5 тыс., хотя и не каждый год. Адмиралы и штаб-офицеры, состоявшие в царской свите, получали особые суммы «на представительство» сверх всех прочих выплат[332]332
В частности, генерал-адъютанты – 1332 руб. в год, флигель-адъютанты в чине капитана 1 ранга – 792 руб. (РГА ВМФ. Ф. 410. Оп. 2. Д. 9098. Л. 169.)
[Закрыть]. Для сравнения: вице-адмирал в должности старшего флагмана на Балтийском или Черном море получал 7734 руб. в год (жалованье, столовые и квартирные), а в плавании – еще по 798–984 руб. в месяц[333]333
РГА ВМФ. Ф. 418. Оп. 1. Д. 1453. Л. 27.
[Закрыть]. Учитывая, что в плавании корабли находились, как правило, по 4–5 месяцев в году, «рядовой» адмирал получал в год 10–12 тыс. руб.
Жалованье и столовые облагались вычетом в размере 1 % «на госпиталь» и 1,5 % на медикаменты, а 6 % доходов вычитали в пенсионный «эмеритальный» капитал, так что общая сумма вычетов составляла 8,5 %. Казенная пенсия была крайне невелика, она составляла от 15 до 30 % выплат, получаемых офицером, служащим на берегу на Балтийском или Черном море. Для тех, кто служил в отдаленных местностях или много плавал, пенсия составляла еще меньший процент доходов, получаемых на службе. Чтобы обеспечить своим служащим большую пенсию, в военном и морском ведомствах были учреждены «эмеритальные кассы», представлявшие собой систему накопительной пенсии. Дополнительным плюсом такой пенсии было то, что офицер, попавший под суд и уволенный «без мундира и пенсии», либо прослуживший недостаточный срок для получения казенной пенсии, сохранял право на эмеритальную пенсию.
Кроме регулярных вычетов, при любом увеличении жалованья, столовых или квартирных, при производстве в следующий чин или назначении на новую должность удерживалась сумма прибавки за первые три месяца службы, а при награждении орденами взыскивался особый сбор. Правда, сборы при награждении много лет не увеличивались, поэтому к началу ХХ в. они были сравнительно невелики: от 15 руб. за орден Св. Станислава 3-й степени до 500 руб. за орден Андрея Первозванного. При награждении орденом Св. Георгия любой степени, георгиевским оружием, орденом Св. Владимира 4-й степени за выслугу лет сбор не взимался. Если офицер находился под арестом, у него вычиталась половина жалованья, столовые не выплачивались вовсе[334]334
Подробнее см. Малинко В. И., Голосов В. П. Справочная книжка для офицеров. М., 1902. Ч. I.
[Закрыть].
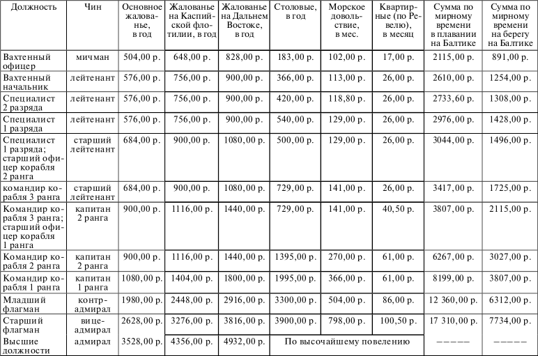
Таблица 1 дает представление о денежном содержании офицеров флота перед Первой мировой войной. Суммы указаны с учетом 8,5 % вычетов из офицерского жалованья, отсюда такие некруглые цифры[335]335
РГА ВМФ. Ф. 418. Оп. 1. Д. 1453. Л. 27.
[Закрыть].
Надо учитывать, что сумму, рассчитанную по мирному времени в плавании, офицеры в действительности никогда не получали, так как практически не было случаев, чтобы корабль находился в плавании круглый год. Реальные выплаты находились в интервале между теоретическим максимумом (в плавании) и минимумом – на берегу. Кроме того, холостым офицерам, находившимся в плавании, не полагались квартирные деньги, но в заграничном плавании жалованье как матросам, так и офицерам выдавалось золотом, что было выгодно военнослужащим, так как с учетом разницы курсов превышало обычное жалованье в полтора раза[336]336
Белли В. А. В российском императорском флоте. С. 133.
[Закрыть]. В. А. Белли вспоминал, что жалованье «платили нам за границей либо английскими, либо французскими деньгами, в зависимости от того, в какой валютной зоне мы находились. Да и русские кредитные билеты, а тем более золотые монеты, охотно обменивались на местные деньги и по хорошему курсу в любом банке или меняльной конторе»[337]337
Там же.
[Закрыть].
Таблица 1

Как видно, система выплат была направлена на стимулирование желания плавать на кораблях вне территориальных вод России. С одной стороны, это нужно оценить положительно, ведь по распространенному мнению, настоящие моряки вырабатываются в дальних плаваниях. С другой стороны, назначение на корабли, идущие в заграничное плавание, было привилегией, и начальство могло по своему усмотрению поощрить того или иного офицера, отправив его в дальнее плавание.
Таблица 2 иллюстрирует оклады офицеров и чиновников, занимавших должности на берегу (без учета 8,5 % вычета)[338]338
РГА ВМФ. Ф. 420. Оп. 1. Д. 147. Л. 26.
[Закрыть]:
Таблица 2


Можно сделать заключение, что офицеры центрального аппарата морского ведомства получали несколько больше, чем строевые на берегу, но меньше, чем строевые офицеры в плавании. Например, жалованье начальника отдела ГМШ соответствовало жалованью контр-адмирала, служившего на берегу (если учесть, что квартирные в Санкт-Петербурге были в два раза выше, чем в Ревеле). Штаб-офицер низшего оклада получал даже меньше, чем строевой капитан 1 ранга на берегу, но тут надо учитывать, что, как правило, эта должность замещалась офицерами в чине капитана 2 ранга. В общем, нельзя сказать, что штабные офицеры получали несправедливо высокое жалованье по сравнению с корабельными. Единственным материальным преимуществом офицеров, служивших «под шпицем»[339]339
Морской жаргонизм того времени. Словосочетанием «под шпицем» (под шпилем) обозначали служивших в здании Главного Адмиралтейства в Санкт-Петербурге, шире – вообще все руководство морского ведомства.
[Закрыть], было то, что они жили в столице, со всеми ее удобствами и удовольствиями. Кроме того, они имели возможность дополнительно зарабатывать преподаванием в школах нижних чинов-специалистов, что приносило неплохой доход. Корабельным офицерам были доступны заграничные плавания, очень ценившиеся одними за повышенные оклады, а другими – за возможность посмотреть мир.
Расходы офицеров оценить довольно сложно. Им полагалось шить обмундирование и питаться за свой счет, в том числе и на корабле. Для организации питания в кают-компании существовал определенный вычет из жалованья, например, в 1906 г. около 30 руб. в месяц[340]340
Белли В. А. В российском императорском флоте. С. 133.
[Закрыть]. В 1912 г. в Кронштадте холостой офицер мог снять комнату за 25 руб., тратить на питание 55–60 руб. (в том числе один завтрак в столовой Минного офицерского класса стоил 50 коп.), на стирку белья 5–10 руб. в месяц[341]341
Там же. С. 249.
[Закрыть]. Учитывая покупательную способность тогдашнего рубля, расходы на питание в 55–60 руб. в месяц, очевидно, позволяли офицеру питаться просто роскошно.
Правда, в мемуарах и публицистике встречаются сетования на тяжелое материальное положение русского офицерства. Вот что пишет А. А. Игнатьев о жизни офицеров 1-й гренадерской дивизии в 1898 г. «Компания рассказывала мне до рассвета про житье-бытье московского гарнизона, о том, как было трудно, особенно женатым, прожить на офицерское жалованье, в девяносто рублей в месяц подпоручику и в сто двадцать – капитану. Да к тому же из этих денег шли вычеты на букеты великой княгине и обязательные обеды, а мундир с дорогим гренадерским шитьем обходился не менее ста рублей. Комнату дешевле чем за двадцать рублей в месяц в Москве найти трудно. Вот холостые и спят в собрании, на письменных столах, там в глубине: диванов-то, кроме одного для дежурного, у нас и нет. Мне тем тяжелее было слушать все эти откровения, что жизнь офицеров первых гвардейских полков не имела с этим ничего общего»[342]342
Игнатьев А. А. Пятьдесят лет в строю. М., 1959. Т. 1. С. 112.
[Закрыть]. Следует отметить, что под указанными А. А. Игнатьевым размерами жалованья поручика и капитана он понимал все денежные выплаты, получаемые офицерами (жалованье, столовые и квартирные). Действительно, штабс-капитан (командир армейской роты) в Москве получал в месяц около 120 руб., а подпоручик – 75–85 руб. (с учетом денег за караулы, суточных за лагерные сборы и т. д. – до 90 руб.). Что касается цен на комнаты в Москве, то обер-офицеру как раз и причиталось 250 руб. квартирных в год, то есть около 21 руб. в месяц, что позволяло снимать одну комнату, которая ему и полагалась по правилам. Было принято, что площадь этой комнаты, вместе с внутренним коридором составит 7,5 квадратных саженей (34 квадратных метра)[343]343
Подробнее см. Малинко В. И., Голосов В. П. Справочная книжка для офицеров. М., 1902. Ч. I.
[Закрыть]. Как правило, такую комнату делили дощатой перегородкой или ширмой на «спальню» и «кабинет». Офицерам в более солидных чинах полагались многокомнатные квартиры. Например, штаб-офицеру полагались три комнаты для себя (119 квадратных метров), а также комната для прислуги и кухни; полковому командиру – пять комнат для семьи (192 квадратных метра), комната для прислуги и отдельная кухня; а полному генералу – девять «барских» комнат (366 квадратных метров) и еще две для слуг и приготовления пищи[344]344
Там же. С. 152–153.
[Закрыть]. Фактически квартирные выплаты отставали от роста арендной платы за жилье, особенно в крупных городах, но нормы жилой площади были велики и даже если офицер не мог снять квартиру, полагавшуюся ему по нормативам, то все равно ему была обеспечена возможность обзавестись приличным жильем. Служебных квартир было немного, но они были роскошными, так как в большинстве своем располагались в зданиях правительственных учреждений, построенных еще в первой половине XIX в. Так, служебная квартира морского министра занимала весь второй этаж бокового фасада здания Главного Адмиралтейства (всего 23 комнаты и 8 «людских покоев», не считая дополнительных помещений).








