Текст книги "Геометрия: Планиметрия в тезисах и решениях. 9 класс"
Автор книги: Андрей Павлов
Жанр:
Математика
сообщить о нарушении
Текущая страница: 3 (всего у книги 10 страниц) [доступный отрывок для чтения: 4 страниц]
1. а) Какое вы знаете свойство вертикальных углов? (1)
б) Докажите это свойство. (1)
2. а) Сформулируйте признак равенства треугольников по двум сторонам и углу между ними. (1)
б) Докажите данный признак. (1)
3. а) Сформулируйте признак равенства треугольников по стороне и двум углам. (1)
б) Докажите данный признак. (1)
4. а) Перечислите основные свойства равнобедренного треугольника. (1)
б) Докажите эти свойства. (1)
в) Докажите признак равнобедренного треугольника. (1)
5. а) Сформулируйте признак равенства треугольников по трём сторонам. (1)
б) Докажите данный признак. (1)
6. Докажите, что две прямые, параллельные третьей, параллельны. (2)
7. а) Сформулируйте признаки параллельности прямых. (1)
б) Докажите эти признаки. (1)
в) Докажите обратные теоремы. (1)
8. Докажите теорему о сумме углов треугольника. (1)
9. Докажите, что внешний угол треугольника равен сумме двух внутренних, не смежных с ним. (1)
10. а) Сформулируйте признаки равенства прямоугольных треугольников. (1)
б) Докажите признаки равенства прямоугольных треугольников по гипотенузе и катету; по гипотенузе и острому углу. (1)
11. а) Докажите, что из точки, не лежащей на данной прямой, можно опустить на эту прямую единственный перпендикуляр. (1)
б) Докажите, что через точку, лежащую на данной прямой, можно провести единственную прямую, перпендикулярную данной. (1)
12. а) Где лежит центр описанной около треугольника окружности? (1)
б) Докажите соответствующую теорему. (1)
13. а) Где лежит центр вписанной в треугольник окружности? (1)
б) Докажите соответствующую теорему. (1)
14. Докажите свойство касательной к окружности. (1)
15. а) Какие вы знаете свойства параллелограмма? (1)
б) Докажите эти свойства. (1)
16. а) Какие вы знаете признаки параллелограмма? (1)
б) Докажите эти признаки. (1)
17. а) Какие вы знаете свойства и признаки прямоугольника? (1)
б) Докажите эти свойства и признаки. (1)
18. а) Какие вы знаете свойства и признаки ромба? (1)
б) Докажите эти свойства и признаки. (1)
19. а) Какие вы знаете свойства и признаки квадрата? (1)
б) Докажите эти свойства и признаки. (1)
20. а) Сформулируйте теорему Фалеса. (1)
б) Докажите эту теорему. (1)
21. а) Сформулируйте обобщенную теорему Фалеса (теорему о пропорциональных отрезках). (1)
б) Докажите эту теорему. (2)
22. а) Какие свойства средней линии треугольника вы знаете? (1)
б) Докажите эти свойства. (1)
23. а) Какие вы знаете свойства средней линии трапеции? (1)
б) Докажите эти свойства. (1)
24. а) Сформулируйте теорему Пифагора. (1)
б) Докажите теорему Пифагора. (1)
в) Сформулируйте и докажите обратную теорему. (2)
25. Докажите, что любая наклонная больше перпендикуляра, и что из двух наклонных больше та, у которой больше проекция. (1)
26. а) Сформулируйте неравенство треугольника. (1)
б) Докажите неравенство треугольника. (2)
27. Даны координаты точек A(х1; у1) и В(х2; у2).
а) По какой формуле вычисляется длина отрезка AB? (1)
б) Выведите эту формулу. (1)
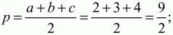
28. Выведите уравнение окружности с центром в точке А(х0; у0) и радиусом R. (1)
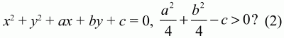
29. Докажите, что любая прямая в декартовых координатах х, у имеет уравнение вида ах + by + с = 0. (2)
30. Напишите уравнение прямой, проходящей через точки А(х1; у1) и В(х2; у2). Ответ: обоснуйте. (2)
31. Докажите, что в уравнении прямой у = kx + b число k есть тангенс угла наклона прямой к положительному направлению оси абсцисс. (2)
32. а) Какие вы знаете основные свойства движений? (2)
б) Докажите эти свойства. (3)
33. Докажите, что:
а) преобразование симметрии относительно точки является движением; (3)
б) преобразование симметрии относительно прямой является движением; (3)
в) параллельный перенос есть движение. (3)
34. Докажите теорему о существовании и единственности параллельного переноса. (3)
35. Докажите, что абсолютная величина вектора kа равна |к| ? |а|, при этом направление вектора kа при а ? О совпадает с направлением вектора а, если k > 0, и противоположно направлению вектора а, если к < 0. (1)
36. Докажите, что любой вектор а можно разложить по векторам b и с (все три вектора лежат на одной плоскости). (1)
37. Даны векторы а = (а1; а2) и b = (BL; b2). Докажите, что

где ? – угол между векторами.
38. а) Какие вы знаете свойства скалярного произведения векторов? (1)
б) Докажите эти свойства. (2)
39. Докажите, что гомотетия есть преобразование подобия. (1)
40. а) Какие вы знаете свойства преобразования подобия? (1)
б) Докажите, что преобразование подобия сохраняет углы между лучами. (2)
41. а) Сформулируйте признак подобия треугольников по двум углам. (1)
б) Докажите этот признак. (1)
42. а) Сформулируйте признак подобия треугольников по двум сторонам и углу между ними. (1)
б) Докажите этот признак. (1)
43. а) Сформулируйте признак подобия треугольников по трём сторонам. (1)
б) Докажите этот признак. (2)
44. а) Сформулируйте свойство биссектрисы треугольника. (1)
б) Докажите, что биссектриса треугольника делит противолежащую сторону на отрезки, пропорциональные двум другим сторонам. (1)
45. а) Сформулируйте свойство вписанного в окружность угла. (1)
б) Докажите это свойство. (1)
46. а) Докажите, что если хорды АВ и CD окружности пересекаются в точке S, то AS ? BS = CS ? DS. (1)
б) Докажите, что если из точки S к окружности проведены две секущие, пересекающие окружность в точках А, В и С, D соответственно, то AS ? BS = CS ? DS. (1)
47. а) Сформулируйте теорему косинусов для треугольника. (1)
б) Докажите эту теорему. (1)
48. а) Сформулируйте теорему синусов. (1)
б) Докажите эту теорему. (1)
в) Докажите, что в теореме синусов каждое из трёх отношений:

равно 2R, где R – радиус описанной около треугольника окружности. (1)
49. Докажите, что в треугольнике против большей стороны лежит больший угол, а против большего угла лежит большая сторона. (2)
50. а) Чему равна сумма углов выпуклого n-угольника? (1)
б) Выведите формулу суммы углов выпуклого n-угольника. (1)
51. а) Докажите, что в правильный многоугольник можно вписать окружность. (1)
б) Докажите, что около правильного многоугольника можно описать окружность. (1)
52. Дан правильный n-угольник со стороной а. Выведите формулы:
а) радиусов вписанной и описанной окружностей; (1)
б) площади n-угольника; (1)
в) угла при вершине. (1)
53. Докажите, что отношение длины окружности к её диаметру не зависит от размера окружности. (3)
54. Как переводить углы из градусной меры в радианную и наоборот? (1)
55. Докажите, что площадь прямоугольника равна произведению длины прямоугольника на его ширину. (3)
56. а) По какой формуле вычисляется площадь параллелограмма? (1)
б) Выведите эту формулу. (1)
57. а) По какой формуле вычисляется площадь треугольника? (через основание и высоту). (1)
б) Выведите эту формулу. (1)
в) Выведите формулу Герона. (1)
58. а) По какой формуле вычисляется площадь трапеции? (1)
б) Выведите эту формулу. (1)
59. Выведите формулы:

где a, b, c – длины сторон треугольника;
S – его площадь;
R и r – радиусы описанной и вписанной окружностей. (1)
60. Пусть F1 и F2 – две подобные фигуры с коэффициентом подобия k. Как относятся площади этих фигур? Ответ: обоснуйте. (1)
61. а) По какой формуле вычисляется площадь круга? (1)
б) Выведите эту формулу. (3)
62. Выведите формулу площади кругового сектора. (2)
63. Выведите формулу площади кругового сегмента. (2)
64. а) Докажите, что биссектрисы треугольника пересекаются в одной точке. (2)
б) Докажите, что медианы треугольника пересекаются в одной точке. (2)
в) Докажите, что высоты треугольника (или их продолжения) пересекаются в одной точке. (2)
г) Докажите, что серединные перпендикуляры к сторонам треугольника пересекаются в одной точке. (1)
65. Докажите, что площадь треугольника равна половине произведения двух его сторон на синус угла между ними. (1)
66. а) Сформулируйте теорему Чевы. (3)
б) Докажите эту теорему. (3)
в) Сформулируйте и докажите обратную теорему. (3)
67. а) Сформулируйте теорему Мене лая. (3)
б) Докажите эту теорему. (3)
в) Сформулируйте и докажите обратную теорему. (3)
68. а) Докажите, что если стороны одного угла параллельны сторонам другого угла, то такие углы либо равны, либо составляют 180°. (2)
б) Докажите, что если стороны одного угла перпендикулярны сторонам другого угла, то такие углы равны или составляют 180°. (2)
69. Докажите, что медианы треугольника точкой пересечения делятся в отношении 2:1, считая от вершины. (1)
70. Докажите, что площадь четырёхугольника равна половине произведения его диагоналей на синус угла между ними. (1)
71. Выведите формулу длины медианы треугольника (через его стороны). (2)
72. Выведите формулу длины биссектрисы треугольника (через его стороны). (2)
73. а) Сформулируйте критерий описанного четырёхугольника. (1)
б) Докажите соответствующую теорему. (2)
74. а) Сформулируйте критерий вписанного четырёхугольника. (1)
б) Докажите соответствующую теорему. (2)
3.3. Задачи теоретического характера для самостоятельного решения и разбора на факультативных занятиях1. Докажите, что

(рис. 113). (1)

Рис. 113.
2. Докажите, что центр окружности, описанной около прямоугольного треугольника, лежит на середине гипотенузы. (1)
3. Докажите, что сумма внешних А углов выпуклого n-угольника равна 360°. (1)
4. Докажите, что через три точки, не лежащие на одной прямой, можно провести окружность и притом только одну. (1)
5. Около какого параллелограмма можно описать окружность? Ответ: поясните. (1)
6. Во всякий ли параллелограмм можно вписать окружность? Ответ: обоснуйте. (1)
7. Около какой трапеции можно описать окружность? Почему? (1)
8. АВ = а, ВС = b. Найдите длину BD (рис. 114). (1)

Рис. 114.
9. АС = a, AD = b. Найдите длину АВ (рис. 115). (1)

Рис. 115.
10. В каком отношении точка X делит отрезок АВ, если известно, что длина всего отрезка АВ так относится к длине большей части АХ, как большая часть к меньшей части ХВ («золотое сечение») (рис. 116)? (1)

Рис. 116.
11. Могут ли две прямые иметь две точки пересечения? Объясните ответ. (1)
12. Могут ли точки А, В, С лежать на одной прямой, если АВ = 1,8 м, АС = 1,3 м, ВС = 3 м? Объясните ответ. (1)
13. Может ли прямая, пересекающая одну из двух параллельных прямых, не пересекать другую? Объясните ответ. (1)
14. Может ли прямая, не проходящая ни через одну из вершин треугольника, пересекать каждую его сторону? Почему? (1)
15. Найдите угол между биссектрисами смежных углов. (1)
16. Докажите, что биссектрисы вертикальных углов лежат на одной прямой. (1)
17. Докажите, что у равнобедренного треугольника:1) биссектрисы, проведённые из вершин при основании, равны; 2) медианы, проведённые из тех же вершин, тоже равны. (1)
18. Докажите равенство треугольников по углу, биссектрисе этого угла и стороне, прилежащей к этому углу. (1)
19. Даны два равнобедренных треугольника с общим основанием. Докажите, что их медианы, проведённые к основанию, лежат на одной прямой. (1)
20. Докажите равенство треугольников по двум сторонам и медиане, проведённой к одной из них. (1)
21. Докажите, что биссектрисы внутренних накрест лежащих углов, образованных параллельными и секущей, параллельны, т. е. лежат на параллельных прямых. (1)
22. Отрезки АВ и CD пересекаются в точке Е и делятся этой точкой пополам. Докажите, что прямые АС и BD параллельны. (1)
23. Докажите, что биссектриса внешнего угла при вершине равнобедренного треугольника параллельна основанию. (1)
24. В треугольнике ABC медиана BD равна половине стороны АС. Найдите угол В треугольника. (1)
25. Через точку пересечения диагоналей параллелограмма проведена прямая. Докажите, что отрезок её, заключённый между параллельными сторонами, делится этой точкой пополам. (1)
26. Докажите, что если диагонали прямоугольника пересекаются под прямым углом, то он – квадрат. (1)
27. Докажите, что вершины треугольника равноудалены от прямой, проходящей через середины двух его сторон. (1)
28. Докажите, что середины сторон четырёхугольника являются вершинами параллелограмма. (1)
29. Докажите, что середины сторон прямоугольника являются вершинами ромба. И наоборот, середины сторон ромба являются вершинами прямоугольника. (1)
30. Докажите, что у равнобокой трапеции углы при основании равны. (1)
31. Докажите, что любая сторона треугольника больше разности двух других его сторон. (1)
32. Докажите, что медиана треугольника ABC, проведённая из вершины А, меньше полусуммы сторон АВ и АС. (1)
33. Могут ли пересекаться окружности с радиусами R1 и R2 и расстоянием между центрами d, если R1 + R2 < d? (1)
34. Найдите радиус r окружности, вписанной в равносторонний треугольник со стороной а, и радиус R окружности, описанной около него. (1)
35. Найдите геометрическое место точек плоскости ху, для которых |х| = 3. (1)
36. Составьте уравнение окружности с центром в точке (1; 2), касающейся оси х. (1)
37. Докажите, что прямая, содержащая медиану равнобедренного треугольника, проведённую к основанию, является осью симметрии треугольника. (1)
38. Сколько осей симметрии у равностороннего треугольника? (1)
39. Докажите, что ромбы равны, если у них равны диагонали. (1)
40. Даны точки A(0; 1), В(1; 0), С(1; 2), D(2; 1). Докажите равенство векторов АВ и CD.(1)
41. Дан параллелограмм ABCD, AC = a, DB = b. Выразите векторы АВ, СВ, CD и АD через а и b (рис. 117).(1)

Рис. 117.
42. Докажите, что для любого вектора

43. Докажите, что дуги окружности, заключённые между параллельными хордами, равны. (2)
44. Докажите правильность соотношения

(рис. 118). (2)

Рис. 118.
45. Докажите правильность соотношения

(рис. 119). (2)

Рис. 119.
46. АВ – касательная. Докажите, что х = ?/2 (рис. 120). (2)

Рис. 120.
47. Докажите, что если два треугольника подобны с коэффициентом подобия k, то с тем же коэффициентом подобия подобны соответствующие линейные элементы этих треугольников (высоты, медианы, радиусы описанной и вписанной окружностей, периметры и т. д.). (2)
48. Докажите, что если для четырёх точек плоскости А, В, М и К выполняется одно из следующих условий: а) точки М и К расположены по одну сторону от прямой АВ и при этом ?АМВ = ?АКБ; б) точки М и К расположены по разные стороны от прямой АВ и при этом ?АМВ + ?АКБ = 180°, то точки А, В, М и К лежат на одной окружности. (2)
49. Докажите, что биссектриса внешнего угла треугольника обладает свойством, аналогичному биссектрисе внутреннего угла, а именно:

(рис. 121). (2)

Рис. 121.
50. ABC – произвольный треугольник. СР и AQ – высоты. Докажите, что треугольник ABC и треугольник PBQ подобны. Чему равен коэффициент подобия (рис. 122)? (2)

Рис. 122.
51. Докажите равенство треугольников по медиане и углам, на которые медиана разбивает угол треугольника. (2)
52. Докажите равенство треугольников по стороне, медиане, проведённой к этой стороне, и углам, которые образует с ней медиана. (2)
53. Разделите отрезок АВ с помощью циркуля и линейки на n равных частей. (2)
54. На стороне АВ треугольника ABC взята точка X Докажите, что отрезок СХ меньше, по крайней мере, одной из сторон АС или ВС. (2)
55. Какая геометрическая фигура задана уравнением

56. Докажите, что при движении параллелограмм переходит в параллелограмм. (2)
57. Докажите, что у параллелограмма точка пересечения диагоналей является центром симметрии. (2)
58. Докажите, что отрезки, соединяющие противоположные вершины описанного шестиугольника, пересекаются в одной точке (теорема Брианшона). (3)
59. Докажите, что основания перпендикуляров, проведённых к прямым, содержащим стороны треугольника, из произвольной точки описанной около него окружности, лежат на одной прямой (теорема Симпсона). (3)
60. Докажите, что если противоположные стороны вписанного шестиугольника не параллельны, то точки пересечения продолжений этих сторон лежат на одной прямой (теорема Паскаля). (3)
61. Докажите, что точки А, В, С лежат на одной прямой (рис. 123). (3)

Рис. 123.
62. Пусть точка А расположена внутри круга радиуса R на расстоянии а от его центра. BB1 – произвольная хорда, проходящая через А. Тогда произведение ВА ? АВ1 постоянно и ВА ? АВ1 = R2– а2. Докажите, что если точка А лежит вне круга, то ВА ? АВ1 = а2 – R2. (3)
63. Докажите, что центр описанной окружности, точка пересечения медиан и точка пересечения высот лежат на одной прямой (теорема Эйлера). (3)
64. Докажите, что в остроугольном треугольнике точка пересечения высот является центром окружности, вписанной в треугольник, вершинами которого являются основания высот данного треугольника. (3)
65. Докажите, что для треугольника:

66. Даны две точки А и В. Докажите, что геометрическим местом точек М таких, что AM: ВМ = k (к ? 1), является окружность с центром на прямой АВ (окружность Anолонния). (3)
67. Найдите углы четырёхугольника ABCD (рис. 124). (3)

Рис. 124.
68. В треугольнике ABC отрезок А1B1, соединяющий основания высот АА1 и ВВ1, виден из середины стороны АВ под углом ?. Найдите величину угла С этого треугольника. (3)
69. Стороны треугольника равны а, b, с. В каком отношении делятся биссектрисы треугольника точкой их пересечения? (3)
70. Докажите, что расстояние между центрами вписанной и описанной окружностей (речь идёт о треугольнике) равно

(формула Эйлера). (3)
71. Докажите, что в любом треугольнике основания высот, середины сторон и середины отрезков, соединяющих ортоцентр с вершинами, лежат на одной окружности радиуса R/2 (окружность девяти точек). Где находится центр данной окружности? Какое свойство есть у этой окружности? (3)
72. Докажите, что если прямая, не проходящая через вершины треугольника ABC, пересекает его стороны (прямые, содержащие стороны) АВ, ВС, СА соответственно в точках A1, B1 С1 то середины отрезков АА1, ВВ1, СС1 лежат на одной прямой (теорема Гаусса). (3)
73. Докажите, что если прямые АА1, ВВ1, СС1, соединяющие вершины треугольников ABC и A1B1C1, пересекаются в одной точке S или параллельны, то точки пересечения прямых АВ и А1В1, ВС и В1С1, АС и A1C1 (если они существуют) лежат на одной прямой (теорема Дезарга). Докажите обратную теорему. (3)
74. Докажите, что касательные в вершинах неравнобедренного треугольника к описанной около него окружности пересекают прямые, содержащие противоположные стороны этого треугольника, в трёх точках, лежащих на одной прямой (теорема Паскаля). (3)
75. Докажите теорему косинусов для четырёхугольника. (3)
76. Докажите, что для любого треугольника R ? 2r, причём равенство возможно только для равностороннего треугольника. (3)
77. Выведите координатные формулы движений плоскости. (3)
I. Для параллельного переноса:
х' = х + а
y' = у + b.
II. Для центральной симметрии:
x' = 2x0 – x
y' = 2y0 – y.
III. Для поворота:
х' = х ? cos? – у sin?
y' = х ? sin? + у ? cos?.
IV. Для осевой симметрии (уравнение прямой ах + by + с = 0):

78. Докажите, что если точки А, В, С лежат на одной прямой, а точки А1, В1, С1 – на другой, и АВ1||А1В, ВС1||В1С, то АС1||А1С (теорема Паппа). (3)
79. Выведите координатные формулы инверсии:

Глава 2
Практикум по решению задач
§ 1. Использование формул планиметрии и тригонометрии
Решение наибольшего числа задач по планиметрии предполагает знание формул планиметрии и тригонометрии. Это прежде всего задачи на решение треугольников, нахождение различных линейных элементов в геометрических фигурах (длин медиан, биссектрис, радиусов окружностей и т. д.), определение углов.
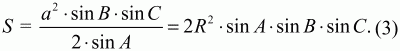
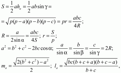
1.1. Задачи на треугольникПри решении вычислительных задач на треугольник нужно знать следующие формулы (рис. 125):

Рис. 125.

где a, b, с – стороны треугольника;
?, ?, ? – противолежащие им углы;
r и R – радиусы вписанной и описанной окружностей;
ha, ma, la – высота, медиана и биссектриса, проведённые к стороне а;
S – площадь треугольника;

– полупериметр треугольника.
Иногда применяют формулу

а также формулу расстояния между центрами описанной и вписанной окружностей:

Примеры решения задач
1. Определите вид треугольника (остроугольный, тупоугольный или прямоугольный) со сторонами 8, 6 и 11 см (рис. 126). (1)

Рис. 126.
Решение. Обозначим больший угол треугольника через ?. Очевидно, что он лежит напротив стороны в 11 см, так как в треугольнике больший угол лежит против большей стороны. По теореме косинусов 112= 82+ 62– 2?8?6?cos ?;
cos ? = -7/32 < 0, значит, угол ? – тупой.
Можно было рассуждать и по-другому. Если бы угол ? был равен 90°, то большая сторона по теореме Пифагора равнялась бы

Удлинение стороны на 1 см автоматически увеличивает и лежащий напротив угол – он становится тупым.
Ответ: тупоугольный.
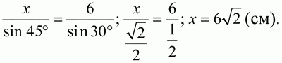
2. Основание треугольника равно 6 см, один из углов при основании равен 105°, другой – 45°. Найдите длину стороны, лежащей против угла в 45° (рис. 127). (1)

Рис. 127.
Решение. Пусть в треугольнике ABC будут АС = 6 см, ?А = 45°, ?С = 105°. Обозначим длину стороны ВС через х. Её нам и нужно найти. Воспользуемся теоремой синусов по которой:

Учитывая, что сумма углов в треугольнике равна 180°, получим:?В = 180° – ?A – ?C = 180°– 45°– 105° = 30°.
Итого

Ответ:

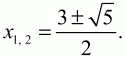
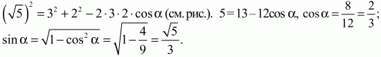
3. Найдите площадь треугольника со сторонами 2, ?5 и 3 (рис. 128). (1)

Рис. 128.
Решение. Можно воспользоваться формулой Герона:

В нашем случае:

Полупериметр:

Проще решить задачу можно было бы так. По теореме косинусов:

Так как площадь треугольника равна половине произведения двух сторон на синус угла между ними, то:

Ответ: ?5.
4. В треугольнике ABC, где ?ACB = 120°, проведена медиана СМ. Найдите ее длину, если АС = 6, ВС = 4 (рис. 129). (2)

Рис. 129.
Решение. Воспользуемся формулой длины медианы

У нас а = ВС = 4, b = АС = 6. Осталось найти с = АВ. Применим к треугольнику АСВ теорему косинусов: с2= АВ2= АС2+ ВС2– 2AC ? BC ? cos(?АСВ) = 62+ 42– 2 ? 6 ? 4 ? cos 120° = 36 + 16–48?(-1/2) = 76.

Ответ: ?7.
5. Найдите длины сторон АВ и АС остроугольного треугольника ABC, если ВС = 8, а длины высот, опущенных на стороны АС и ВС, равны 6, 4 и 4 соответственно (рис. 130). (2)

Рис. 130.
Решение. Единственный угол треугольника, который остался «нетронутым», угол С.
Из прямоугольного треугольника ВМС следует:

тогда

Из ?АКС:

А теперь по теореме косинусов, применённой к треугольнику ABC, получаем:

Ответ: AB = ?41; AC = 5.
6. В треугольнике, один из углов которого равен разности двух других, длина меньшей стороны равна 1, а сумма площадей квадратов, построенных на двух других сторонах, в два раза больше площади описанного около треугольника круга. Найти длину большей стороны треугольника (рис. 131). (2)

Рис. 131.
Решение: Обозначим через ? наименьший угол в треугольнике и через ? наибольший угол. Тогда третий угол равен ? – ? – ?. По условию задачи ? – ? = ? – ? – ? (больший угол не может равняться разности двух других углов). Отсюда следует, что 2? = ?; ? = ?/2. Значит, треугольник прямоугольный. Катет ВС, лежащий против меньшего угла ?, равен по условию 1, значит, второй катет АВ равен ctg?, а гипотенуза АС равна 1/sin ?. Поэтому сумма площадей квадратов, построенных на гипотенузе и большем катете, равна:

Центр окружности, описанной около прямоугольного треугольника, лежит на середине гипотенузы, и её радиус равен:

а площадь равна:

Пользуясь условием задачи, имеем уравнение:

откуда

Длина большей стороны треугольника равна

Ответ:

7. Длины сторон а, b, с треугольника равны 2, 3 и 4. Найти расстояние между центрами описанной и вписанной окружностей. (2)
Решение. Для решения задачи даже чертеж не нужен. Последовательно находим: полупериметр



Расстояние между центрами окружностей:

Ответ:

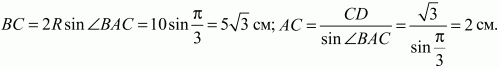
8. В треугольнике ABC величина угла ВАС равна ?/3, длина высоты, опущенной из вершины С на сторону АВ, равна ?3 см, а радиус окружности, описанной около треугольника ABC, равен 5 см. Найти длины сторон треугольника ABC (рис. 132). (3)

Рис. 132.
Решение: Пусть CD – высота треугольника ABC, опущенная из вершины С. Возможны три случая. Основание D высоты CD попадает:
1) на отрезок АВ;
2) на продолжение отрезка АВ за точку В;
3) в точку В.
По условию радиус R окружности, описанной около треугольника ABC, равен 5 см. Следовательно, во всех трех случаях:

Теперь ясно, что точка D не совпадает с точкой В, так как ВС ? CD. Применяя теорему Пифагора к треугольникам ACD и BCD, находим, что

Отсюда следует, что точка D лежит между точками А и В, но тогда АВ = AD + BD (1 + 6?2) см.
Ответ: АВ = (6?2 + 1) см, ВС = 5?3 см, АС = 2 см.
9. В треугольниках ABC и A1B1C1 длина стороны АВ равна длине стороны А1В1, длина стороны АС равна длине стороны А1С1, величина угла ВАС равна 60° и величина угла В1А1С1 равна 120°. Известно, что отношение длины В1С1 к длине ВС равно ?n (где n – целое число). Найти отношение длины АВ к длине АС. При каких значениях n задача имеет хотя бы одно решение (рис. 133)? (3)

Рис. 133.
Решение: Пусть ABC и A1B1C1 – данные в условии задачи треугольники. Применяя теорему косинусов к треугольникам ABC и А1В1С1, имеем:

Т. к. по условию задачи В1С1 :ВС = ?n, то

Поскольку А1В1 = АВ и А1С1 = АС, то, разделив числитель и знаменатель дроби в левой части равенства (1) на АС2и обозначив АВ: АС через х, получим равенство:

откуда ясно, что искомое отношение длины АВ к длине АС есть корень уравнения
х2(n – 1) – х(n + 1) + n – 1 = 0. (2)
Т. к. В1С1 > ВС, то n > 1. Следовательно, уравнение (2) является квадратным. Его дискриминант равен (n + 1)2– 4(n – 1)2= – 3n2+ 10n – 3.
Уравнение (2) будет иметь решения, если – 3n2+ 10n – 3 ? 0, т. е. при -1/3 ? n ? 3. Т. к. n – натуральное число, большее 1, то уравнение (2) имеет решения при n = 2 и n = 3. При n = 3 уравнение (2) имеет корень х = 1; при n = 2 уравнение имеет корни

Ответ: отношение длины АВ к длине АС равно

при n = 2; равно 1 при n = 3; при остальных n решений нет.
Задачи для самостоятельного решения
10. В треугольнике ABC высота AD на 4 см меньше стороны ВС. Сторона АС равна 5 см. Найдите периметр треугольника ABC, если его площадь равна 16 см2. (1)
11. Докажите, что для любого треугольника выполняется равенство:

где ha, hb и hc – высоты треугольника, а r – радиус вписанной окружности. (2)
12. Основание треугольника равно ?2. Найдите длину отрезка прямой, параллельной основанию и делящей площадь треугольника пополам.(2)
13. Найдите площадь треугольника по стороне а и прилежащим к ней углам ? и ?. (2)
14. В треугольнике ABC длина высоты BD равна 6 см, длина медианы СЕ равна 5 см, расстояние от точки пересечения отрезков BD и СЕ до стороны АС равно 1 см. Найти длину стороны АВ. (3)
15. В треугольнике ABC высота BD равна 11,2, а высота АЕ равна 12. Точка Е лежит на стороне ВС, и BE: ЕС = 5:9. Найти длину стороны АС. (3)
16. В треугольнике ABC длина стороны АС равна 3, ?ВАС = ?/6 и радиус описанной окружности равен 2. Доказать, что площадь треугольника ABC меньше 3. (3)
17. В треугольнике ABC медианы, проведенные к сторонам АС и ВС, пересекаются под прямым углом. Длина стороны АС равна b, длина стороны ВС равна а. Найти длину стороны АВ. (3)








